Clinical and epidemiological characteristics of hospitalized patients with COVID-19 during different pandemic periods in Moscow
- Authors: Briko N.I.1, Korshunov V.A.1, Krasnova S.V.2, Protsenko D.N.3, Glazovskaya L.S.2, Gostishchev R.V.3, Saltykova T.S.1,4, Chernyavskaya O.P.1, Pozdnyakov A.A.1, Labanovich V.V.1, Kaneev A.I.1
-
Affiliations:
- I.M.Sechenov First Moscow State Medical University (Sechenov University)
- Infectious Diseases Hospital No 2
- Clinical Hospital No 40
- Central Research Institute for Epidemiology
- Issue: Vol 99, No 3 (2022)
- Pages: 287-299
- Section: ORIGINAL RESEARCHES
- URL: https://microbiol.crie.ru/jour/article/view/1257
- DOI: https://doi.org/10.36233/0372-9311-272
- ID: 1257
Cite item
Abstract
Background. The incidence of COVID-19 novel coronavirus infection has a wave-like pattern with surges in new cases followed by declines. Viral mutations, changes in viral properties, and new strains continue to emerge and are regularly reported.
The aim of the study is to present a comparative analysis of clinical and epidemiological characteristics of hospitalized patients with COVID-19 during different periods of the coronavirus infection pandemic in Moscow.
Materials and methods. A two-center, retrospective observational epidemiological study was performed using medical records of patients hospitalized with the confirmed diagnosis of COVID-19 in Moscow from March 2020 to March 2022 (34,354 patients).
Results. Within 2 years of the pandemic, there were significant differences in the age structure of hospitalized patients. During the early months (March–June 2020) of the pandemic, age groups of 18–45 and 46–65 yearolds accounted for higher percentages of hospitalizations. Later on (July 2020 – February 2021), the proportion of older age groups demonstrated an upward trend. From spring 2021 (the emergence of the SARS-CoV-2 delta strain) to March 2022 (dominance of the omicron strain), the proportion of hospitalized working-age adults increased once again.
The proportion of severe and critically severe cases among the patients hospitalized during different periods remained at steady levels: 7.7% (6.6–8.8%) and 5.5% (4.4–6.6%), respectively. The highest death rates were observed during the delta strain surge, while the lowest death rates were reported for the omicron strain. Throughout the pandemic, the older age and chronic diseases remained risk factors contributing to the severity of the disease and adverse outcomes.
Conclusion. The emergence of new variants of SARS-CoV-2 causing a shift of the need for hospitalization towards younger age groups, the persistent high rates of severe cases and death rates among people of retirement age are pressing for the unfailing readiness for implementing preventive and epidemic control measures focusing on the above groups of population.
Full Text
Background
The epidemic of coronavirus infection (COVID-19) has been going on for more than 2 years. Over this time, more than 494 million cases and more than 6 million deaths have been reported globally1. Russia is among the countries with the highest number of COVID-19 cases and deaths2. The surge in the incidence in Russia started later than in Europe, during the week when the epidemic reached its peak in the European Region. The epidemic started in the Southern Federal District (FD), spreading to the Central and the Far Eastern FDs, then, a week later, to the Siberian, Volga and Urals FDs, and in 3 weeks (in June) to the Northwestern and North Caucasian FDs [1]. During the first days of the COVID-19 outbreak in Moscow (March 06 – March 24, 2020), the infection was primarily detected in people coming back from international trips. Many of the COVID-19 patients had to be hospitalized to receive treatment at hospitals. The disease hit harder older adults and patients with chronic diseases [2][3].
Russia was the first country to register a vaccine against COVID-19 and to start voluntary vaccination in December 20203. Although the vaccines were available to the population and vaccination received extensive media coverage, Russia demonstrated much lower vaccination coverage rates compared to other countries; these low rates may have contributed to the incidence dynamics and the number of hospitalizations4.
The COVID-19 incidence dynamics has an irregular pattern with surges and declines, different ratios between mild, severe and asymptomatic cases [4]. During the observation period, several variants of SARSCoV- 2 were identified, including SARS-CoV-2 from Wuhan, alpha, delta and omicron strains causing most concern; several surges in the COVID-19 incidence were recorded. According to the data from Rospotrebnadzor5, the first case of infection with the Wuhan strain was reported in Russia on March 01, 2020; the first case of infection with the alpha strain was recorded at the end of December 2020. As explained by the Chief Sanitary Doctor of the Russian Federation, the above strains prevailed in the country till mid-June 2021 to be later superseded by the delta variant6. On December 06, 2021, the first cases of infection with the omicron strain were reported7. According to the data from Rospotrebnadzor8, the omicron strain became a prevailing strain in Russia since February 2022. The above situation was observed at the time of writing the article (March 2022).
Quite a few studies have been focused on patients hospitalized during the 1st (spring) surge in the incidence. However, no large-scale studies have been performed to compare clinical and epidemiological characteristics of patients hospitalized during different periods of the pandemic.
The aim of the study is to present a comparative analysis of clinical and epidemiological characteristics of hospitalized patients with COVID-19 during different periods of the pandemic in Moscow.
Materials and methods
A two-center, retrospective observational epidemiological study was performed using medical records of patients in two hospitals of Moscow: Infectious Diseases Clinical Hospital No. 2 of the Moscow Health Department (ICH No. 2) and City Clinical Hospital No. 40 of the Moscow Health Department (CCH No. 40, Kommunarka Division) from March 2020 to March 2022. The above hospitals are large healthcare centers, which were among the first Moscow-based hospitals to admit patients with novel coronavirus infection. The study included a total of 34,148 patients aged from 0 to 102 years, with confirmed diagnosis of COVID-19.
ICH No. 2 is also known for its Moscow City Center for AIDS Prevention and Control. Accordingly, some of the hospitalized patients with COVID-19 had HIV coinfection. Considering a specific disease course of COVID-19 in these patients, they were later excluded from the analyzed sample. The final analysis included 31,380 cases.
The following information was retrieved from the electronic health record database: the patients’ gender, age, date of hospital admission, outcome (hospital discharge/death), the date of outcome, transfer to the intensive care unit, disease severity at admission, underlying medical conditions and symptoms (complaints at admission).
In addition, we used information about COVID-19 morbidity and mortality in the Moscow population (based on the data from the stopcoronavirus.rf website and the Emergency Operation Center).
Statistical analysis
The descriptive research included measuring of intensive and extensive variables of morbidity, mortality; rates of trend increase/decline; death rates, length of hospital stay, etc. For quantitative variables, we used methods of descriptive statistics: calculation of the means, dispersion, standard deviation, the standard error of the mean, confidence intervals, the median, the 25th and 75th percentiles, the interquartile range. The quantitative variables were checked for the normality of distribution using the Lilliefors test. For qualitative variables, we calculated proportions, the standard error of a proportion, and a 95% confidence interval.
The analytical research was performed using contingency tables and included calculation of relative risk and odds ratio. The statistical significance of differences between groups of qualitative variables was measured using the χ2 test at the statistical significance level p < 0.05. The association between qualitative variables was measured with Cramer’s V.
The data were analyzed using the IBM SPSS V20.0 statistical software; Microsoft Excel 2016 was used for data visualization.
Characteristics of the hospitals
ICH No. 2 is located in the Eastern administrative district of Moscow. At the beginning of the pandemic, it had a total of 810 hospital beds, including 670 adult, 60 pediatric, 80 obstetric and 27 intensive care beds. In addition, in September 2020, addressing the needs of COVID-19 patients, the hospital expanded its bed capacity by opening temporary RODER hospitals. As a result, the hospital increased the number of inpatient beds to 1,094 beds, including 37 intensive care beds. Meltzer units are used for the admissions unit, for some of the infectious diseases departments and for the intensive care unit. ICH No. 2 is a specialized medical center for treatment of patients with infectious diseases. Therefore, in addition to providing treatment to COVID-19 patients, during the pandemic, the hospital continued to admit patients with other infectious diseases.
CCH No. 40 is a large healthcare center specializing in cancer care; it consists of several divisions. We collected data on patients hospitalized to the hospital division in Kommunarka. In March 2020, the inpatient treatment building of the hospital was converted into an infectious diseases department for patients with COVID-19. A total of 802 beds were provided; the bed capacity of the intensive care units was increased to accommodate up to 128 people. In autumn 2020, an emergency hospital was set up for 1,249 beds — 919 inpatient and 330 intensive care beds.
Results and discussion
At the beginning of the study, to pinpoint the assessment of characteristics of hospitalized patients with COVID-19, we identified periods in coronavirus infection incidence in Moscow by the similarity of their patterns. Their time boundaries were based on estimated incidence and death rates, the direction of the trend, the speed of its progression and rates of increase/decline (Fig. 1).

Fig. 1. Dynamics of COVID-19 incidence in Moscow and the number of new hospitalizations (weekly) from March 2020 to March 2022
Figures show periods of COVID-19 incidence in Moscow, which were identified by the similarity of their epidemiological pattern.
A total of 7 periods were identified:
- 1st period — a spring surge in the incidence — a rapid increase in the incidence and a subsequent decline. The highest incidence rate was recorded during the third week of May (327.2 per 100,000 population); the average rate was 111.9. The period lasted from March through June 2020 (4 months);
- 2nd period — summer stabilization with steady incidence rates ranging from 33.7 to 50.2 per 100,000 population; the average rate — 38.0. The length of the period was 3 months (from July to September 2020);
- 3rd period — an autumn surge in the incidence, demonstrating the highest incidence rates (from 64.0 to 401.4 per 100,000 population, with the average rate of 247.3). The period lasted from October 2020 to February 2021 (5 months);
- 4th period — a spring period of relative incidence stabilization followed by an upward trend. The lowest incidence rate was 75.9 per 100,000 population; the highest rate was 168.9; the average rate was 120.2. The period lasted from March 2021 through May 2021 (3 months);
- 5th period — a summer (June–August 2021, 3 months) surge in the incidence with the delta strain of SARS-CoV-2 accounting for most of the cases. The period was characterized by higher rates of increase and decline in the incidence. The highest incidence rate was recorded during the first week of July 2021 (425.0 per 100,000 population); the average rate was 230.4;
- 6th period — an autumn-winter (September–December 2021, 4 months) surge in the incidence with most of the cases caused by the delta strain of SARS-CoV-2. The period was characterized by higher rates of increase and decline in the incidence. The highest incidence rate was recorded during the fourth week of October 2021 (385.9 per 100,000 population); the average rate was 210.4;
- 7th period — a winter–spring surge in 2022, with the omicron strain of SARS-CoV-2 bursting onto the scene. The study included the period from January to March 2022. There was a sharp increase in the incidence, which was followed by a rapid decline. The pandemic all-time high incidence rate was recorded during the second week of February 2022 (1,316.8 per 100,000 population).
By and large, the above periods are comparable to the commonly reported periods (referred to by mass media and different studies) with more distinct time limits. We had to identify the above periods to use them in our analysis of clinical and epidemiological characteristics of hospitalized patients.
It was found that the dynamics of hospitalizations was generally comparable with the dynamics of incidence in Moscow. During the 1st period, the highest rates of new cases and hospitalizations had been reported before the incidence reached its peak. During the 2nd period, although the incidence decreased, the number of hospitalizations did not decrease significantly, going up in autumn before the incidence rates demonstrated an upward trend. The similar situation was observed in spring 2021 (the 4th period); although the incidence rates remained stable, the number of hospitalizations was persistently high. The new peak in the incidence and hospitalization rates in May-June 2021 (the 5th period) was triggered by a new strain of SARS-CoV-2 — the delta variant. However, compared to the previous variant of SARS-CoV-2, the delta variant- caused surges in the incidence (the 5th and 6th periods) were less pronounced and of shorter duration. The replacement of the delta variant by the omicron variant in January-March 2022 (the 7th period) sped up the epidemic process. The incidence, including the rates of its increase and decline, was much (more than 3 times) higher compared to the previous periods. The increase was also reported in the number of hospitalizations. In general, the period from autumn 2020 to summer 2021 (the 3rd–5th periods) was marked by the highest admission rates among new patients. The hospitalization rates were also pushed up by the redistribution of the patient flow due to the closure or the opening of in-patient facilities for COVID-19 patients.
Distribution of hospitalizations by age and gender
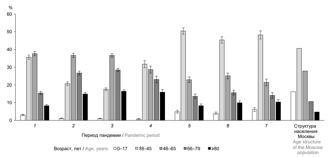
The median age of the patients hospitalized during the observation period was 53 years; the interquartile range (IQR) was 37–66 years. There were significant differences in the age structure of patients hospitalized during different periods of the pandemic (Fig. 2). The 1st period of the pandemic was mostly represented by groups of 18–45 and 46–65 year-olds. Later, in summer and autumn of 2020 (the 2nd and 3rd periods), the proportion of hospitalized older age groups (of the retirement age, including those over 80) increased. The increase was most likely associated with more severe COVID-19 infection affecting older age groups, resulting in higher requirement for hospitalization. At the same time, due to the adopted restrictions, the number of hospitalized working-age patients was relatively low.

Fig. 2. Age structure of hospitalized patients with COVID-19 in Moscow during different period from March 2020 to March 2022 and the age structure of Moscow population as of January 2020 (based on the data from the Federal State Statistics Service as of January 01, 2020;
URL: https://gks.ru/bgd/regl/b20_111/main.htm).
Here and in Fig. 3, 6: 1 — the spring surge in the incidence in 2020; 2 — the summer stabilization in 2020; 3 — the autumn surge in 2020; 4 — the spring period of relative stabilization in 2021; 5 — the summer surge in the incidence in 2021; 6 — the autumn–winter surge in the incidence in 2021; 7 — the winter–spring surge in 2022.
The spring period of 2021 was marked by changes in the structure of hospitalizations demonstrating a shift toward younger age groups. By summer 2021 (the dominance of the delta variant), the proportion of hospitalized working-age adults (18–65 years) had reached the highest level. The median age decreased to 42 (IQR 33–62) years. The shift was most likely caused by loosening of the restrictive measures and by the new variant of SARS-CoV-2 entering the stage while the vaccination coverage was still relatively low. We assume that the above factors contributed to the increase in the number of hospitalized working-age adults (the most socially active group of population). During the autumn surge in the incidence in 2021, the number of hospitalized patients of retirement age increased slightly, suggesting their more active involvement in the epidemic process. The structure of hospitalizations during the omicron variant’s dominance was similar to the structure observed during the period of dominance of the delta strain – working-age adults accounted for the highest percentage of hospitalizations.
Thus, with an emerging new variant of COVID-19, absent active restrictive measures, and low levels of herd immunity, we can expect that people of working age will be intensively involved in the epidemic process as an active part of the population.
Among the hospitalized patients, women accounted for 55.8%, while men accounted for 44.2%. There were no gender-related statistically significant differences between the periods. The analysis of the age and gender distribution of the hospitalized patients showed that among the patients aged under 35 years, the proportions of male and female cases were approximately identical: 51.4% (95% CI, 48.3–56.6%) and 48.6% (43.4–51.7%), respectively. The group of 36–54 year-olds was mostly represented by men - 56.6% (55.1–58.1%), while women accounted for 43.4% (41.9–44.9%; p = 0.01). In all older age groups, women accounted for a higher percentage, which may be explained by their prevalence in the population structure. In the group of 55–64 year-olds, they accounted for 54.0% (52.4–55.5%), among 65–79 year-olds, they accounted for 60.3% (59.0–61.6%), and in the group over 80 years of age, they accounted for 67.6% (65.7–69.5%).
Severity of hospitalized cases
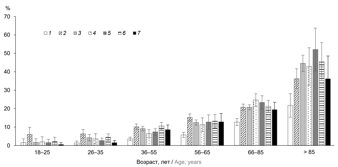
During the observation period, severe and critically severe cases accounted for 7.7% (6.6–8.8%) and 5.5% (4.4–6.6%) of the hospitalization, respectively. The proportion of severe and critically severe cases was significantly higher among older age groups (Fig. 3).

Fig. 3. The proportion of hospitalized patients with severe and critically severe COVID-19 in Moscow from March 2020 to March 2022.
In the age group of 18–25 year-olds, it was 2.1% (1.3–3.0%), while in the group over 85 years of age, it was 39.6% (36.9–42.3%; p < 0.001).
During the 1st surge in the incidence, the proportion of severe and critically severe cases among all age groups was significantly lower compared to the other periods. The differences between the other periods were not significant. Among the age groups of 18–25, 26–35, 56–65 year-, the proportion of severe and critically severe cases reached its highest levels during the summer period of 2020, while in the group over 85, the highest proportion of severe and critically severe cases was reported during the summer surge in 2021 (the emergence of the delta strain). On the other hand, when the omicron variant prevailed (January–March 2022), the proportion of severe cases in the above group was lower than during the delta strain dominance. The other groups demonstrated no statistically significant differences between different pandemic periods.
Thus, although omicron variant-caused cases tend to be generally mild and despite the larger involvement of the working-age population in the epidemic process during the delta variant dominance, the in-hospital severity structure did not show any significant changes. The decrease in the incidence also does not result in any reduction in the proportion of severe and critically severe cases: There are no differences between the periods of stabilization and surge in the incidence.
The requirement for transfer to the intensive care unit
The requirement for intensive care unit (ICU) admission was significantly higher during the autumn- winter surge, with the cases accounting for 10.7% (9.9–11.5%) compared to the summer period - 6.0% (5.3-6,6%) and the spring surge in 2020 — 6.7% (6.1–7.4%; p < 0.05). The highest requirement levels for ICU were recorded in November (13.2%) and June (11.1%), the lowest levels were recorded in September (4.8%) and August (5.5%).
A total of 7.9% (7.5–8.3%) of patients required transfer to ICU. The median age of the patients who had to be transferred to ICU was 70 (59–81) years; the median age of the patients who did not need ICU was 60 (47–71) years. The requirement for transfer to ICU was predictably higher among older age groups, increasing with age. The ICU admission rates were highest among patients over 85 years of age — 20.0% (17.2–22.7%), being almost twice as high as the rates recorded for the group of 66-85 year-olds (10.8%; 10.0–11.6%); the lowest rates were recorded for patients under 55 years of age — 4.2% (3.7–4.7%). In the meantime, no statistically significant changes in these rates were found in the age groups during different periods.
The analysis of data from researchers from other countries showed a large spread of the percentages of patients transferred to ICU: from 3.4% in Spain [5] to 17% in Great Britain [6]. This spread can be associated with the differences in severity and age structure of hospitalization cases as well as with capabilities of the healthcare centers participating in the studies.
In-hospital mortality
The dynamics of in-hospital mortality is characterized by a wave-like pattern with surges followed by declines (Fig. 4).

Fig. 4. Dynamics of mortality among hospitalized patients with COVID-19 and incidence in Moscow from March 2020 to March 2022.
Note that the periods of increased death rates did not occur at the same time when the incidence increase was reported; rather they started later, having reached the highest levels when the incidence started to decline. This time lag cannot be explained by the length of stay for hospitalizations ending in death, as most of the patients were discharged within 3–4 weeks. The median length of hospital stay was 9 (IQR 5–13) days, 10 (6–17) days for non-survivors and 8 (5–13) days for survivors. The age structure of hospitalizations and the proportions of severe and critically severe cases between the periods of stabilization and incidence surge remained the same. For example, when comparing the period of summer stabilization in 2020 and period of autumn-winter surge in 2020/2021, we can see no changes in the above variables, while there are changes in the death rates. Therefore, the above changes need the further research and analysis.
The highest death rates associated with the spring surge in the incidence were recorded when the surge was over — during the 25th–29th week of the year (July 2020), and then gradually decreased. The autumn-winter surge demonstrated the same pattern: The highest death rates were recorded from the 9th to the 16th week of the year (March–April 2021). The period of high death rates lasted longer during the autumn-winter surge compared to the spring surge in 2020. The longer length can probably be explained by the higher intensity of the epidemic process in autumn. At the same time, it should be noted that although there are fluctuations in the death rates, they do not result in any statistically significant differences between the periods.
The curve of the length of hospital stay before the fatal outcome showed a bimodal distribution (Fig. 5). The higher death rates were recorded for patients who stayed in a hospital for 1–3 days. During the next 2 weeks (the 4th–the 13th days), the death rates were lower and then gradually increased. The mortality in the group of patients with the length of hospital stay up to 3 days was 10.7% (9.6–11.8%), for those staying for 3-13 days — 6.6% (6.2–7.0%), for more than 14 days — 14.8% (13.8–15.8%; p < 0.001). The higher death rates during the first days in a hospital are most likely associated with the death of patients hospitalized with severe and critically severe conditions.

Fig. 5. Death rates among hospitalized patients with COVID-19 in Moscow from March 2020 to March 2022, depending on the length of hospital stay.
The median age of non-survivors was higher than the age of the discharged patients — 73 (65–83) and 56 (43–70) years, respectively. The age and the age structure of non-survivors did not change significantly during the entire period of observation — the non-survivors aged 66–85 years prevailed during all periods, except for the 1st period. The death rates were significant higher among older age groups. While among the patients under 35 years of age, they were lower than 1%, in the 56–65-year-old age group, the death rate was 7.1% (4.7–9.5%), in the group of 66-85 year-olds — 16.4% (14.6–18.2%), among those over 85 years of age — 36.2% (31.9–40.5%; p < 0.001).
Higher death rates among older age groups (the age-related increase) were reported in many studies [7]. In the British prospective study of the similar sample size, the estimated death rate was 26% at the median age of hospitalized patients being 73 years (IQR 58–82 years)) [6]. The study performed in Germany in February–April 2020 demonstrated similar results – the in-hospital mortality was 22% (the median age of hospitalized patients was 72 years (IQR 57–82 years) [8].
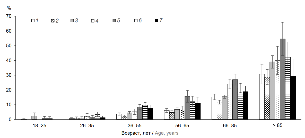
The highest death rates among older age groups (66–85 and over 85 years of age) and in the group of 56–65 year-olds were recorded during the summer surge in 2021 during the circulation of the delta strain, while during the dominant circulation of the alpha strain (before the spring surge in 2021) and the omicron strain (during the spring–winter surge in 2022), the rates were significantly lower. Although these differences were also observed among working-age (36–55 year-old) adults, they were not as significant (Fig. 6).

Fig. 6. Mortality among hospitalized patients with COVID-19 in Moscow from March 2020 to March 2022 by age groups.
When comparing our findings with the results reported by researchers from other countries, we should point out similarities of some results. For example, the cross-sectional study on death rates in different countries — "epicenters of the pandemic" during the 1st surge in the incidence showed that people aged under 65 years accounted for 4.5–11.2% deaths from COVID-19 in European countries and Canada, 8.3–22.7% — in regions of the United States, 49.5% — in India, 62.0% — in Mexico [9]. In Russia, the non-survivors under 65 years of age account for 24.6% (22.8–25.4%) in total or 36.2% (31.6–40.8%), 20.8% (17.1–24.5%), 22.5% (20.0–25.0%), 20.7% (15.7–25.7%) during the 1st–4th periods, respectively.
Chronic diseases and symptoms at admission
A total of 57.4% (55.0–59.8%) study participants had chronic diseases. The frequency of chronic diseases among older age groups was 93.6% in the group of 65–85 year-olds and 96.7% in patients aged 85 years and older, while among patients under 55 years of age it was significantly lower (24.3%). The most frequent diseases were arterial hypertension (33.7%; 31.5–35.9%), ischemic heart disease and/or chronic heart failure (15.2%; 13.4–16.9%), type 1 and type 2 diabetes (in total, 11.8%; 10.3–13.4%), overweight and obesity (10.2%; 8.7–11.6%), chronic obstructive pulmonary disease (2.6%; 1.8–3.3%). In the group over 55 years of age, the most frequent diseases were circulatory system diseases (66.9%; 64.7–69.2%), digestive diseases (21.5%; 19.6–23.5%), endocrine diseases (24.9%; 22.9 ± 27.0%). The same diseases were observed among patients under 55 years of age, though with significantly lower prevalence rates.
The study conducted by British researcher showed similar most frequent comorbidities: chronic cardiac diseases (31%), uncomplicated diabetes (21%), non-asthmatic chronic pulmonary disease (18%) and chronic kidney disease (16%) [6].
We calculated the age-specific relative risk of a fatal outcome depending on existing chronic diseases. It was found that overweight and obesity were most significant risk factors for age groups of 18–45 and 46–65 year-olds. Higher BMIs were associated with the higher risk of a fatal outcome (Table).

The relative risk of a fatal outcome associated with some diseases in hospitalized patients with COVID-19 in Moscow
Disease | Age, years | |||
18-45 | 46-65 | 66-79 | ≥ 80 | |
Diseases of the circulatory system | N/a | 2,00* | 2,13* | 0,84 |
Diseases of the respiratory system | N/a | 2,47* | 2,06* | 1,47 |
Endocrine diseases | N/a | 3,12* | 1,72* | 1,21 |
Diabetes mellitus | N/a | 2,28* | 1,96* | 1,36 |
Coronary heart disease and chronic cardiac insufficiency | N/a | 2,33* | 1,57* | 1,01 |
Overweight and obesity | 4,59* | 4,11* | 1,63 | 1,67 |
Chronic obstructive pulmonary disease | N/a | 3,7* | 2,11* | 1,76 |
Chronic kidne | N/a | 1,08 | 1,62 | 1,31 |
Note. N/а — not available. *p < 0.05.
In the groups of 46–65 and 66–79 year-olds, chronic diseases were associated with the higher risk of a fatal outcome. The similar tendency is observed among patients over 80 years of age. However, the levels of relative risk are not as high as in younger groups, and the differences are not statistically significant. Most likely, this fact can be explained by the stronger isolated effect of age as a risk factor. The absence of the statistically significant impact of chronic kidney failure can be associated with its low prevalence among the patients in our sample. Small numbers of fatal outcomes and low prevalence of chronic diseases among 18–45 year-olds make it impossible to calculate the relative risk in this age group with reference to most of the parameters.
The most frequent symptoms and complaints at admission were elevated body temperature (68.5%; 66.3–0.7%), fatigue (56.4%; 54.0–58.8%) and cough (47.8%; 45.4–50.2%), which were generally consistent with the worldwide data (Fig. 7). For example, the systematic review of international prospective observational studies in hospitalized patients with COVID-19 in 43 countries showed that the most common symptoms were fever (68%), cough (68%) and shortness of breath (63%) [10].

Fig. 7. Frequency of symptoms and complaints at admission among hospitalized patients with COVID-19 in Moscow.
Adverse prognostic factors associated with the higher risk of a fatal outcome included at-admission complaints about shortness of breath at rest (OR = 2.38; p < 0.001) and on exertion (OR = 2.29; p < 0.001). On the contrary, patients complaints about runny nose (OR = 0.12; p < 0.001), sore throat (0.06; p < 0.001), loss of taste and smell (OR = 0.24; p = 0.12), elevated body temperature (0.63; p < 0.001) were associated with the lower risk of a fatal outcome.
Conclusion
Thus, the main differences during different periods of the COVID-19 pandemic among hospitalized patients were revealed in their age distribution. They are more likely to be associated with the implementation of restrictive measures during the early months of the pandemic rather than with changes in the properties of the virus. The increased proportion of hospitalized working-age patients during the emergence of the delta variant can be associated with the higher social activity of this age group and, consequently, with the higher risk of infection. Considering the large proportion of this group in the population, the above factors could cause the observed changes.
The emergence of new variants SARS-CoV-2 was accompanied by an increase in the incidence, higher rates of increase, changes in the proportion of severe cases among the affected population, though it did not result in a decreased or increased proportion of severe and critically severe cases among hospitalized patients.
Throughout all the periods of the pandemic, the older age and existing chronic diseases remained risk factors contributing to the adverse outcome of the disease. The highest death rate was reported for the delta variant of SARS-CoV-2, while the lowest death rate was recorded for the omicron strain. These differences are especially noticeable among older age groups. At the same time, the death rates, which were found to increase several weeks after the surge in the incidence rather than concurrently with the increasing incidence, require the further research and analysis.
The emergence of new variants of SARS-CoV-2 causing a shift of the need for hospitalization towards younger age groups, the persistent high rates of severe cases and death rates among people of retirement age are pressing for the unfailing readiness for implementing preventive and epidemic control measures focusing on the above groups of population.
1. Johns Hopkins University. URL: https://gisanddata.maps.arcgis.com/apps/dashboards/bda7594740fd40299423467b48e9ecf6
2. Stopcoronavirus.rf. URL: www.stopcoronavirus.rf
3. Briefing of Minister of Health Tatiana Golikova. The Government of the Russian Federation. 04.12.2020. URL: http://government.ru/news/41035
4. Global Change Data Lab, Our World in Data. URL: https://ourworldindata.org
5. The interview with Head of Rospotrebnadzor A.Yu. Popova. 10.01.2021. URL: https://www.vesti.ru/article/2508258
6. The report of RF Chief Sanitary Doctor A.Yu. Popova at the meeting of the Presidium of the Government Coordination Council to Control the Incidence of the Novel Coronavirus Infection in the Russian Federation. 16.07.2021. URL: http://government.ru/news/42786/
7. The Declaration of Minister of Health of the Russian Federation Mikhail Murashko. 25.12.2021. URL: https://vedomosti.ru.turbopages.org/vedomosti.ru/s/society/news/2021/12/25/902615-nezavoznih-sluchayah
8. The Declaration of Chief Sanitary Doctor of the Russian Federation A.Yu. Popova. 08.02.2022. URL: https://www.gazeta.ru/social/news/2022/02/08/17259031.shtml
About the authors
N. I. Briko
I.M.Sechenov First Moscow State Medical University (Sechenov University)
Email: fake@neicon.ru
ORCID iD: 0000-0002-6446-2744
Nikolay I. Briko — D. Sci. (Med.), Professor, Academician of the RAS, Director, F.F. Erisman Institute of Public Health, I.M. Sechenov First Moscow State Medical University.
Moscow
Russian FederationV. A. Korshunov
I.M.Sechenov First Moscow State Medical University (Sechenov University)
Author for correspondence.
Email: korshunov_v_a@staff.sechenov.ru
ORCID iD: 0000-0002-2562-9695
Vladimir A. Korshunov — Cand. Sci. (Med.), Associate Professor, Department of epidemiology and evidence-based medicine, F.F. Erisman Institute of Public Health, I.M. Sechenov First Moscow State Medical University.
Moscow
Russian FederationS. V. Krasnova
Infectious Diseases Hospital No 2
Email: fake@neicon.ru
ORCID iD: 0000-0001-8592-5624
Svetlana V. Krasnova — Cand. Sci. (Med.), chief physician, Infectious Clinical Hospital No 2.
Moscow
Russian FederationD. N. Protsenko
Clinical Hospital No 40
Email: fake@neicon.ru
ORCID iD: 0000-0002-5166-3280
Denis N. Protsenko — Cand. Sci. (Med.), Associate Professor, chief physician, City Clinical Hospital No 40.
Moscow
Russian FederationL. S. Glazovskaya
Infectious Diseases Hospital No 2
Email: fake@neicon.ru
ORCID iD: 0000-0002-2632-712X
Larisa S. Glazovskaya — Cand. Sci. (Med.), Deputy chief physician for sanitary and epidemiological issues, Infectious Clinical Hospital No 2.
Moscow
Russian FederationR. V. Gostishchev
Clinical Hospital No 40
Email: fake@neicon.ru
ORCID iD: 0000-0002-2379-5761
Roman V. Gostishchev — Cand. Sci. (Med.), Deputy chief physician for prospective development, City Clinical Hospital No 40.
Moscow
Russian FederationT. S. Saltykova
I.M.Sechenov First Moscow State Medical University (Sechenov University); Central Research Institute for Epidemiology
Email: fake@neicon.ru
ORCID iD: 0000-0001-7329-2268
Tatyana S. Saltykova — Cand. Sci. (Med.), Associate Professor, Department of epidemiology and evidence-based medicine, F.F. Eris man Institute of Public Health, I.M. Sechenov First Moscow State Medical University.
Moscow
Russian FederationO. P. Chernyavskaya
I.M.Sechenov First Moscow State Medical University (Sechenov University)
Email: fake@neicon.ru
ORCID iD: 0000-0002-9981-3487
Olga P. Chernyavskaya — Cand. Sci. (Med.), Associate Professor, Department of epidemiology and evidence-based medicine, F.F. Erisman Institute of Public Health, I.M. Sechenov First Moscow State Medical University.
Moscow
Russian FederationA. A. Pozdnyakov
I.M.Sechenov First Moscow State Medical University (Sechenov University)
Email: fake@neicon.ru
ORCID iD: 0000-0003-0032-9917
Artem A. Pozdnyakov — Senior Lecturer of the Department of Epidemiology and Evidence-Based Medicine, F.F.Erisman Institute of Public Health, I.M. Sechenov First Moscow State Medical University (Sechenov University).
Moscow
Russian FederationV. V. Labanovich
I.M.Sechenov First Moscow State Medical University (Sechenov University)
Email: fake@neicon.ru
ORCID iD: 0000-0003-4917-4936
Veronika V. Labanovich — student, F.F. Erisman Institute of Public Health, I.M. Sechenov First Moscow State Medical University.
Moscow
Russian FederationA. I. Kaneev
I.M.Sechenov First Moscow State Medical University (Sechenov University)
Email: fake@neicon.ru
ORCID iD: 0000-0001-7000-9711
Albert I. Kaneev — student, F.F. Erisman Institute of Public Health, I.M. Sechenov First Moscow State Medical University.
Moscow
Russian FederationReferences
- Карпова Л.С., Лиознов Д.А., Столяров К.А., Поповцева Н.М., Столярова Т.П. COVID-19 в России. Весенне-летний период пандемии 2020 года. Эпидемиология и вакцинопрофилактика. 2020; 19(6): 18–27. https://doi.org/10.31631/2073-3046-2020-19-6-18-27
- Авдеев С.Н., Адамян Л.В., Алексеева Е.И., Багненко С.Ф., Баранов А.А., Баранова Н.Н. и др. Профилактика, диагностика и лечение новой коронавирусной инфекции (COVID-19). Временные методические рекомендации. М.; 2021.
- Гришаева А.А., Понежева Ж.Б., Чанышев М.Д., Плоскирева А.А., Маннанова И.А., Алешина Н.И. и др. Состояние цитокиновой системы у больных с тяжелой формой COVID-19. Лечащий врач. 2021; (6): 48–51. https://doi.org/10.51793/OS.2021.24.6.010
- Акимкин В.Г., Кузин С.Н., Семененко Т.А., Шипулина О.Ю., Яцышина С.Б., Тиванова Е.В. и др. Закономерности эпидемического распространения SARS-CoV-2 в условиях мегаполиса. Вопросы вирусологии. 2020; 65(4): 203–11. https://doi.org/10.36233/0507-4088-2020-65-4-203-211
- Borobia A.M., Carcas A.J., Arnalich F., Álvarez-Sala R., Monserrat-Villatoro J., Quintana M., et al. A cohort of patients with COVID-19 in a major teaching hospital in Europe. J. Clin. Med. 2020; 9(6): 1733. https://doi.org/10.3390/jcm9061733
- Docherty A.B., Harrison E.M., Green C.A., Hardwick H.E., Pius R., Norman L., et al. Features of 20 133 UK patients in hospital with COVID-19 using the ISARIC WHO Clinical Characterisation Protocol: prospective observational cohort study. BMJ. 2020; 369: m1985. https://doi.org/10.1136/bmj.m1985
- Promislow D.E.L. A geroscience perspective on COVID-19 mortality. J. Gerontol. A Biol. Sci. Med. Sci. 2020; 75(9): e30–3. https://doi.org/10.1093/gerona/glaa094
- Karagiannidis C., Mostert C., Hentschker C., Voshaar T., Malzahn J., Schillinger G., et al. Case characteristics, resource use, and outcomes of 10 021 patients with COVID-19 admitted to 920 German hospitals: an observational study. Lancet Respir. Med. 2020; 8(9): 853–62. https://doi.org/10.1016/S2213-2600(20)30316-7
- Ioannidis J.P.A., Axfors C., Contopoulos-Ioannidis D.G. Contopoulos-Ioannidis Population-level COVID-19 mortality risk for non-elderly individuals overall and for non-elderly individuals without underlying diseases in pandemic epicenters. Environ. Res. 2020; 188: 109890. https://doi.org/10.1016/j.envres.2020.109890
- Pritchard M.G., Olliaro P.L.; ISARIC Clinical Characterisation Group. Symptoms at presentation for patients admitted to hospital with COVID-19: results from the ISARIC prospective multinational observational study. medRxiv. 2020. Preprint. https://doi.org/10.1101/2020.10.26.20219519
Supplementary files










