The influence of immunomodulators on the formation of vaccine-induced cholera immunity
- Authors: Filippenko A.V.1, Ivanova I.A.1, Omelchenko N.D.1, Trufanova A.A.1
- 
							Affiliations: 
							- Rostov-on-Don Plague Control Research Institute
 
- Issue: Vol 99, No 1 (2022)
- Pages: 81-92
- Section: ORIGINAL RESEARCHES
- URL: https://microbiol.crie.ru/jour/article/view/1180
- DOI: https://doi.org/10.36233/0372-9311-188
- ID: 1180
Cite item
Full Text
Abstract
Introduction. Due to the remaining tense situation on cholera in the world, research continues on the creation of new preventive drugs, as well as ways to increase the immunogenicity of existing anti-cholera vaccines. The combined use of vaccines with immunomodulators and cytokines is successfully used for the specific prevention of various infections, including particularly dangerous ones.
The aim of the work is an experimental study of the effect of immunomodulators on the immunogenic and protective activity of the cholera bivalent chemical vaccine in order to assess the possibility of their use to improve the specific prevention of cholera.
Materials and methods. The parameters of cellular and humoral local and systemic immune response in experimental animals vaccinated and receiving immunotherapy, as well as the effect of immunomodulators on the protective activity of antigens that are part of the cholera bivalent chemical vaccine, were evaluated.
Results. The studies revealed that the use of immunomodulators in combination with the vaccine leads to an increase in the immunogenic properties of antigens. Immunomodulators stimulate the differentiation of CD4⁺- lymphocytes, ensuring the development of an immune response mainly along the humoral pathway, increase the number of B-lymphocytes, antigen-specific antibody-forming cells, as well as secretory immunoglobulin A in the intestines of vaccinated experimental animals. It is shown that the immunomodulator glucosaminylmuramyl dipeptide increases the protective properties of the antigens that are part of the chemical cholera bivalent vaccine. It was the most effective additive, since it protected all the animals included in the experiment from generalized cholera.
Conclusion. The use of immunomodulators in anti-cholera vaccination, especially with glucosaminylmuramyl dipeptide, may be one of the approaches to improving the specific prevention of cholera.
Full Text
Введение
Продолжительные эпидемии, появление новых штаммов, вызывающих тяжёлые клинические формы, привлекают внимание медицинских кругов к проблеме совершенствования экстренной, специфической и неспецифической профилактики холеры. В России вакцинация против холеры включена в календарь профилактических прививок по эпидемическим показаниям. На базе Российского научно-исследовательского противочумного института «Микроб» Роспотребнадзора производят лицензированную на национальном уровне вакцину таблетированную холерную бивалентную химическую [1]. Вакцина формирует иммунный ответ к возбудителю холеры, относящемуся к 01 серогруппе, который сохраняется у привитых не более 6 мес. Из-за напряжённой эпидемиологической обстановки в мире по холере назрела потребность в усовершенствовании существующей противохолерной вакцины, а также в создании новых современных безопасных химических отечественных вакцин против Vibrio choleraе 01 и 0139 серогрупп [1]. Кроме того, необходимо учитывать, что эффективность вакцинации зависит не только от качества и особенностей используемых вакцин, но и от особенностей генотипа индивидуума, поэтому создание профилактических препаратов со стимулирующими компонентами позволит повысить их иммуногенность целенаправленным действием на иммунную систему организма [2].
Для увеличения иммуногенности различных антигенов, формирования полноценного иммунного ответа на вакцины и предотвращения развития поствакцинальных осложнений с успехом применяются цитокины и иммуномодуляторы.
Из литературы известно о положительных результатах применения иммуномодуляторов для совершенствования специфической и экстренной профилактики особо опасных инфекций. Так, доказана целесообразность введения глюкозаминилмурамилдипептид (ГМД) [3] и сальмозана [4] в схему экстренной и специфической профилактики сибиреязвенной инфекции. Показано повышение эффективности антибактериальной терапии при острой инфекции Burkholderia рseudomallei с помощью применения интерферона-γ [5][6]. Включение имунофана в схему экстренной профилактики экспериментального мелиоидоза антибиотиком доксициклином повышало выживаемость и среднюю продолжительность жизни животных [7]. Сочетанное использование рекомбинантных цитокинов и мелиоидозных антигенов стимулировало макрофагально-фагоцитарную систему и показатели клеточного и гуморального иммунитета [8]. Показано также, что введение при первичной и вторичной иммунизации липосомальными мелиоидозными антигенами цитокинов (интерферона-γ и интерлейкина-2) и препарата бестим обеспечивало более высокий уровень реагирования систем клеточного иммунитета и увеличение иммуногенных и протективных свойств антигенов [9][10]. Н.В. Богачева и соавт. выявили, что ГМД стимулировал клеточное звено иммунитета у вакцинированных живой бруцеллезной вакциной экспериментальных животных, существенно уменьшая сенсибилизацию организма. При этом риск развития побочных реакций и осложнений значительно снижался [11], защитный эффект вакцины повышался даже при заражении высокой дозой вирулентного штамма возбудителя [11]. Использование азоксимера бромида (АБ) при моделировании противотуляремийного вакцинного процесса приводило к увеличению титров специфических антител на фоне длительной активации спленоцитов и пониженной интенсивности повреждения макрофагов в селезёнке и брюшной полости [12]. Зарубежные исследователи получили положительные результаты при использовании интерлейкина-12 для совершенствования как специфической [13], так и экстренной профилактики легочной туляремии [14]. Применение в качестве адъюванта интерлейкина-12 также оказалось перспективным и при экспериментальной лёгочной чуме у иммунизированных мышей [15]. Показана адъювантная способность препарата беталейкина (рекомбинантного интерлейкина-1β) и АБ в отношении иммуногенной и протективной активности живой противочумной вакцины в опытах на взрослых кроликах и морских свинках [16][17]. Полученные С.Н. Клюевой и соавт. данные свидетельствуют об эффективности АБ во время вакцинации (ревакцинации) против чумы [18]. АБ и даларгин усиливают протективные свойства вакцинного штамма чумного микроба (Yersinia pestis EV), что свидетельствует о целесообразности применения иммуноадъювантов в схеме специфической и экстренной профилактики чумы [19].
Все вышеизложенное свидетельствует об эффективности применения цитокинов и иммуномодуляторов при профилактике особо опасных инфекций. Подход с использованием комплекса вакцины и иммуномодулирующих препаратов может быть также полезен для совершенствования специфической профилактики холеры. Препараты, обладающие иммуномодулирующим действием на формирование поствакцинального противохолерного иммунитета, должны стимулировать как местный, так и системный иммунный ответ.
Цель работы — изучение влияния иммунопрепаратов на формирование клеточного и гуморального иммунных ответов на вакцину холерную бивалентную химическую у экспериментальных животных.
Материалы и методы
В работе были использованы беспородные белые мыши массой 16–20 г в возрасте 6–10 нед, полученные из питомника Ростовского-на-Дону противочумного института Роспотребнадзора.
Пероральную иммунизацию беспородных белых мышей проводили с помощью хирургических игл с насаженными на них полиэтиленовыми оливами. Перед иммунизацией экспериментальных животных поили 5% раствором пищевой соды (по 0,1 мл) для снижения повреждающего действия желудочного сока на противохолерную вакцину. Прививочную дозу рассчитывали согласно массе вакцинируемых животных, исходя из человеко-дозы, рекомендованной производителем.
Использовали следующие иммуномодуляторы: АБ, натрия дезоксирибонуклеат (НД), ГМД (все — производства России).
Иммуномодуляторы вводили однократно одновременно с вакциной: АБ — по 1,7 мкг; НД — по 20,0 мкг; ГМД — по 2,85 мкг. Дозу препаратов также рассчитывали, исходя из человеко-дозы, рекомендованной производителем. Животные контрольных групп (интактные) не получали никаких препаратов.
Оценку влияния иммунокоррекции на формирование противохолерного иммунного ответа проводили на 1, 2 и 3-й неделе поствакцинального периода.
Спленоциты получали путём мягкой деструкции селезёнок в гомогенизаторе типа Даунса в забуференном фосфатами физиологическом растворе. Клетки дважды отмывали центрифугированием при 1000 об/мин в течение 7–10 мин. Жизнеспособность спленоцитов определяли в автоматическом счётчике клеток «Countess™», окрашивая их 0,2% трипановым синим. Суспензия содержала 90–96% жизнеспособных лимфоцитов (Лф).
Пейеровы бляшки (ПБ) выделяли в стерильных условиях в ламинарном укрытии. Мышей подвергали эвтаназии, соблюдая правила гуманного обращения с экспериментальными животными. Для стерильного выделения кишечника осуществляли разрез кожи и после вскрытия брюшной полости извлекали участок тонкой кишки, ограниченный двумя лигатурами длиной 15 см. Затем выделенные фрагменты 3 раза промывали шприцем, разрезали, фиксировали на стерильном деревянном столике и выделяли ПБ, имевшие вид мелких белесоватых крупинок. В промывных водах определяли секреторный иммуноглобулин А (sIgA). Выделенные ПБ помещали в охлаждённую до 4ºС культуральную среду RPMI-1640, измельчали путём мягкой деструкции в гомогенизаторе типа Даунса. Клеточную суспензию набирали в 10 мл шприц (игла № 16), переносили в центрифужные пробирки объёмом 20 мл на слой градиента фиколл-верографин (d = 1,077 г/л) и центрифугировали в течение 5 мин при 1000 об/мин. Клетки из интерфазы трижды отмывали охлаждённой средой путём центрифугирования при 1000 об/мин в течение 7–10 мин, суспендировали в среде с 10% эмбриональной телячьей сыворотки. Затем отбирали аликвоту для подсчёта клеток и определения их жизнеспособности с помощью окрашивания 0,2% трипановым синим в автоматическом счетчике клеток «Countess™». Приготовленная таким способом суспензия клеток содержала 96–98% жизнеспособных Лф.
Популяции и субпопуляции Лф определяли с помощью моноклональных антител к CD3+, CD4+, CD8+, CD19+ мыши («eBioscience», США). Спленоциты и Лф ПБ окрашивали моноклональными антителами согласно инструкции производителя и анализировали на проточном цитометре «Navios™» («Beckman Coulter»).
Определение общего количества антителообразующих клеток (АОК) осуществляли с помощью метода иммуноферментных зон ELISPOT [20].
Определение количества sIgA проводили в промывных водах тонкого кишечника мышей с помощью набора «Enzyme-linked immunosorbent assay kit for sIgA» («Cloud-Clone Corp.») согласно инструкции производителя. Количество sIgA оценивали на многофункциональном ридере «Synergy™2» («BioTek Instruments Inc.»).
Способность иммуномодуляторов повышать протективную активность холерной вакцины оценивали, заражая животных через месяц вирулентным штаммом Vibrio cholerae О1 569В. В работе использовали модель генерализованной формы холеры у мышей, которая применяется для определения иммуногенности вакцин и оценки эффективности антибиотикотерапии при холере. Культуру выращивали при 37ºС в течение 18 ч и готовили 1 млрд взвесь в забуференном фосфатами физиологическом растворе по стандарту мутности. Агар Нобля («Difco») растворяли в дистиллированной воде, кипятили в течение 30 мин на водяной бане при постоянном помешивании, охлаждали до 45ºС и соединяли с 1 млрд взвесью культуры в соотношении 1 : 1 до конечной концентрации агара 0,2%. Полученной взвесью V. cholerae О1 569В в агаризированном забуференном физиологическом растворе заражали белых мышей внутрибрюшинно в дозе 2 × 108 микробных клеток в объёме 0,2 мл. О развитии генерализованной инфекции у белых мышей судили по количеству павших животных на 3-и сутки после заражения при 100% гибели контрольных (интактных) мышей в течение 1 сут.
При работе с экспериментальными животными руководствовались международными принципами, изложенными в «Европейской конвенции о защите позвоночных животных, используемых для экспериментов и других научных целей» ETS № 123 (Страсбург, 1986), Приказом Минздрава России от 01.04.2016 № 199Н «Об утверждении Правил надлежащей лабораторной практики», на все эксперименты получено положительное заключение Этического комитета при Ростовском-на-Дону противочумном институте Роспотребнадзора.
Статистический анализ материалов осуществляли с помощью программ «Мicrosoft Ехсеl 2010» и «StatSoft». Определяли значения доверительных интервалов (L) среднеарифметического (М) для уровня достоверности (р) 95%. Достоверность различий определяли по t-критерию Стьюдента. Уровень р < 0,05 расценивали как значимый.
Результаты
При исследовании влияния вакцинации на популяционный состав Т-Лф селезенки и ПБ выявлено достоверное (р < 0,05) увеличение числа CD3+-Лф селезёнки по сравнению с интактными животными (62,00 ± 1,68 и 57,00 ± 1,38 соответственно), а также Т-клеток ПБ (62,0 ± 1,6 и 54,0 ± 1,8 соответственно) с 7-х суток поствакцинального периода.
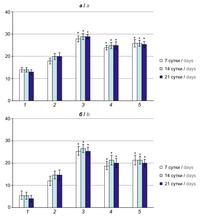
АБ, ГМД и НД стимулировали пролиферацию Т-Лф в селезёнке животных опытных групп (66,0 ± 1,6; 64,00 ± 1,24 и 65 ± 1,34 соответственно) по сравнению с вакцинированными мышами (60,00 ± 1,36) с конца 1-й недели поствакцинального периода (рис. 1, а) и до конца срока наблюдения (70,00 ± 1,68; 66,0 ± 1,7; 68,00 ± 1,34 соответственно).

Рис. 1. Влияние АБ, ГМД и НД на количество CD3+-Лф (%) в селезёнке (а) и ПБ (б) вакцинированных белых мышей. 1 — контроль; 2 — вакцина; 3 — вакцина + АБ; 4 — вакцина + ГМД; 5 — вакцина + НД. *р < 0,05 по сравнению с вакцинированными мышами (t-критерий Стьюдента).
Fig. 1. Effect of azoximer bromide, glucosaminylmuramyl dipeptide, and sodium deoxyribonucleate on the number of CD3+-lymphocytes in the spleen (а) and in the Peyer plaques (b) of vaccinated white mice. 1 — control; 2 — vaccine; 3 — vaccine + azoximer bromide; 4 — vaccine + glucosaminylmuramyl dipeptide; 5 — vaccine + sodium deoxyribonucleate. *p < 0.05 compared to vaccinated mice (Student's t-test).
Применение иммуномодуляторов вызывало достоверное (р < 0,05) увеличение количества CD3+-Лф в ПБ вакцинированных животных, регистрируемое на 7-е сутки наблюдения (69,0 ± 1,8; 67,0 ± 1,5 и 68,0 ± 1,4 соответственно) по сравнению с этими показателями белых мышей, получивших только вакцину (62,0 ± 1,6) (рис. 1, б). Такая же тенденция наблюдалась нами и в течение 3-й недели эксперимента (74,0 ± 1,8; 67,0 ± 1,7 и 70,0 ± 1,4 соответственно).
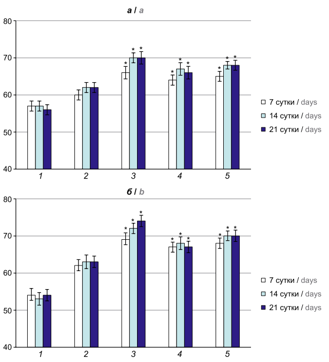
При определении количества В-Лф у вакцинированных белых мышей выявлено усиление их пролиферации на 1-й неделе в селезёнке (18,00 ± 1,36) и ПБ (19,0 ± 1,6) и до конца 3-й недели поствакцинального периода — в селезёнке (20,0 ± 1,7) и ПБ (21,0 ± 1,7), по сравнению с интактными животными (14,00 ± 1,02 и 14,0 ± 1,2 соответственно).
У животных опытных групп, получавших при вакцинации АБ, ГМД и НД, с конца 1-й недели наблюдения регистрировали значительное увеличение количества CD19+-Лф как в селезёнке (29,00 ± 1,36; 24,00 ± 1,02 и 26,00 ± 1,68 соответственно), так и в ПБ (29,0 ± 1,3; 24,0 ± 1,2 и 26,0 ± 1,6 соответственно) по сравнению с группой вакцинированных мышей (18,00 ± 1,36 и 19,0 ± 1,6 соответственно) (рис. 2). В конце эксперимента наблюдалась такая же тенденция. При этом АБ, по сравнению с другими иммуномодуляторами, в несколько большей степени (р < 0,05) стимулировал пролиферацию В-клеток в ПБ (29,0 ± 1,4; 25,00 ± 1,06 и 25,0 ± 1,1 соответственно) и в селезёнке (30,00 ± 1,04; 25,00 ± 1,08 и 26,0 ± 1,0 соответственно).

Рис. 2. Влияние АБ, ГМД и НД на содержание В-Лф в селезёнке (а) и ПБ (б) вакцинированных белых мышей. 1 — контроль; 2 — вакцина; 3 — вакцина + АБ; 4 — вакцина + ГМД; 5 — вакцина + НД. *р < 0,05 по сравнению с вакцинированными мышами (t-критерий Стьюдента).
Fig. 2. Comparative assessment of the effect of azoximer bromide, glucosaminylmuramyl dipeptide, and sodium deoxyribonucleate on the number of B-lymphocytes in the spleen (а)
and in the Peyer plaques (b) of vaccinated white mice. 1 — control; 2 — vaccine; 3 — vaccine + azoximer bromide; 4 — vaccine + glucosaminylmuramyl dipeptide; 5 — vaccine + sodium deoxyribonucleate.
*p < 0.05 compared to vaccinated mice (Student's t-test).
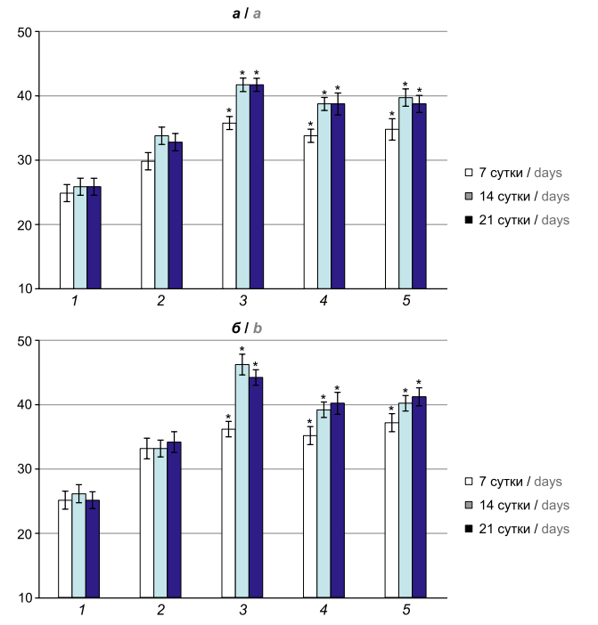
При изучении субпопуляционного состава Т-Лф селезенки и ПБ у вакцинированных экспериментальных животных установлено увеличение числа CD4+-Лф в селезёнке (30,00 ± 1,36) и в ПБ (33,0 ± 1,6) уже с 7-х суток поствакцинального периода по сравнению с контрольными мышами (25,0 ± 1,4 и 25,00 ± 1,04 соответственно) (рис. 3). Применение всех иммуномодуляторов при вакцинации стимулирует, начиная с 7-х суток, этот процесс в селезёнке (36,00 ± 1,02; 34,00 ± 1,04 и 35,0 ± 1,7 соответственно), сохраняя пролиферацию Т-хелперов на высоком уровне по сравнению с группой вакцинированных животных (3,30 ± 1,06) до конца срока наблюдения (42,0 ± 1,2; 39,00 ± 1,72 и 39,0 ± 1,4 соответственно).
В ПБ иммуномодуляторы увеличивали, по сравнению с группой вакцинированных животных (33,0 ± 1,3), пролиферацию Т-хелперов, начиная с 14-х суток (46,0 ± 1,6; 39,0 ± 1,2 и 40,0 ± 1,3 соответственно) и до конца 3-й недели поствакцинального периода (44,0 ± 1,2; 40,0 ± 1,7 и 41,0 ± 1,4 соответственно). Особенно стимулирует этот процесс АБ (рис. 3).

Рис. 3. Влияние АБ, ГМД и НД на содержание CD4+-Лф в селезёнке (а) и в ПБ (б) вакцинированных белых мышей. 1 — контроль; 2 — вакцина; 3 — вакцина + АБ; 4 — вакцина + ГМД; 5 — вакцина + НД. *р < 0,05 по сравнению с вакцинированными мышами (t-критерий Стьюдента).
Fig. 3. Comparative assessment of the effect of azoximer bromide, glucosaminylmuramyl dipeptide, and sodium deoxyribonucleate on the number of B-lymphocytes in the spleen (а)
and in the Peyer plaques (b) of vaccinated white mice. 1 — control; 2 — vaccine; 3 — vaccine + azoximer bromide; 4 — vaccine + glucosaminylmuramyl dipeptide; 5 — vaccine + sodium deoxyribonucleate.
*p < 0.05 compared to vaccinated mice (Student's t-test).
Оценка влияния иммуномодуляторов на пролиферативную активность субпопуляции CD8+-Лф вакцинированных белых мышей не выявила достоверного увеличения их количества у всех опытных групп животных по сравнению с контрольной группой.
Определение количества АОК у экспериментальных животных показало, что вакцинация запускает процесс образования этих клеток в ПБ белых мышей. Уже на 3-и сутки после иммунизации количество АОК возрастало (43,0 ± 2,1) по сравнению с контрольными (интактными) животными, у которых эти клетки не регистрировались.
Результаты исследований показали, что у всех иммунизированных животных, получавших иммунопрепараты, статистически достоверно (р < 0,05) увеличивалось количество антигенспецифических АОК уже на 1-й неделе поствакцинального периода (77,0 ± 2,3; 60,0 ± 2,8 и 58,0 ± 2,0 соответственно) по сравнению с вакцинированными мышами (43,0 ± 2,1) (рис. 4). Значительное увеличение антигенспецифических АОК под влиянием иммуномодуляции, по сравнению с вакцинированными мышами (93,0 ±1,8), регистрировали с 7-х суток после вакцинации (193,0 ± 3,1; 135,0 ± 2,3 и 108,0 ± 2,7 соответственно), особенно под влиянием АБ. К 21-м суткам количество АОК при применении АБ оставалось достоверно выше (385,0 ± 7,1), чем у мышей, получавших ГМД и НД (355,0 ± 7,6 и 339,0 ± 8,4 соответственно) и вакцинированных (295,0 ± 10,1), что свидетельствовало о формировании большего количества клеток иммунологической памяти.

Рис. 4. Влияние АБ, ГМД и НД на количество АОК в ПБ вакцинированных белых мышей. 1 — вакцина; 2 — вакцина + АБ; 3 — вакцина + ГМД; 4 — вакцина + НД. *р < 0,05 по сравнению с вакцинированными мышами (t-критерий Стьюдента).
Fig. 4. Comparative assessment of the effect of azoximer bromide, glucosaminylmuramyl dipeptide, and sodium deoxyribonucleate on the number of antibody-forming cells in the Peyer plaques of vaccinated white mice. 1 — vaccine; 2 — vaccine + azoximer bromide; 3 — vaccine + glucosaminylmuramyl dipeptide; 4 — vaccine + sodium deoxyribonucleate. *p < 0.05 compared to vaccinated mice (Student's t-test).
При оценке антителообразования в тонком кишечнике белых вакцинированных мышей установлено, что вакцинация уже на 7-е сутки стимулирует у них продукцию sIgA (6,2 ± 0,4) (рис. 5) по сравнению с интактными животными (4,0 ± 0,5). У иммунизированных мышей, получавших иммуномодуляторы, синтез sIgA идёт более интенсивно с начала (9,50 ± 0,18; 8,30 ± 0,11 и 7,50 ± 0,15) и до окончания наблюдения (12,5 ± 0,6; 9,2 ± 0,3 и 8,2 ± 0,5) по сравнению с группой вакцинированных животных (6,2 ± 0,4 и 6,9 ± 0,8), что свидетельствует о положительном влиянии иммуномодуляции на этот процесс. Наибольшее количество sIgA зарегистрировано у мышей, получавших АБ.

Рис. 5. Влияние АБ, ГМД и НД на продукцию sIgA в кишечнике вакцинированных белых мышей. 1 — контроль; 2 — вакцина; 3 — вакцина + АБ; 4 — вакцина + ГМД; 5 — вакцина + НД. *р < 0,05 по сравнению с вакцинированными мышами (t-критерий Стьюдента).
Fig. 5. Comparative assessment of the effect of azoximer bromide, glucosaminylmuramyl dipeptide, and sodium deoxyribonucleate on sIgA production in the intestines of vaccinated white mice.
1 — control; 2 — vaccine; 3 — vaccine + azoximer bromide; 4 — vaccine + glucosaminylmuramyl dipeptide; 5 — vaccine + sodium deoxyribonucleate. *p < 0.05 compared to vaccinated mice (Student's t-test).
Результаты экспериментов по изучению влияния иммуномодуляторов на способность вакцины защищать мышей от генерализованной холеры показали, что из всех препаратов наибольшей стимулирующей активностью обладали ГМД (выжили 100% вакцинированных животных) и АБ (остались живы около 90% мышей; таблица), что достоверно превышало количество выживших вакцинированных животных (р = 0,0001 и p = 0,024 соответственно). У животных, получавших НД, генерализованная холера не развилась примерно у 80% мышей, что соответствовало количеству выживших вакцинированных животных (р > 0,05). Интактные мыши контрольной группы погибли.
Оценка способности АБ, ГМД и НД повышать протективные свойства противохолерной вакцины на модели генерализованной холерной инфекции у белых мышей
Evaluation of the ability of azoximer bromide, sodium deoxyribonucleate, glucosaminylmuramyl dipeptide to increase the protective properties of the cholera vaccine on a model of generalized cholera infection in white mice
| Группа животных Animal group | Количество заражённых животных Number of infected animals | Количество выживших животных после заражения V. cholerae 01 569В Number of surviving animals after infection with V. cholerae cholerae 569B | Протективность, % Protectivity, % | 
| Контрольные Control | 30 | 0 | - | 
| Вакцинированные Vaccinated | 30 | 21,00 ± 1,65 | 70,0 ± 5,5* | 
| Вакцинированные + АБ Vaccinated + azoximer bromide | 30 | 27,0 ± 2,0 | 90,0 ± 6,7*+ | 
| Вакцинированные + НД Vaccinated + sodium deoxyribonucleate | 30 | 24,00 ± 1,23 | 80,0 ± 4,1* | 
| Вакцинированные + ГМД Vaccinated + glucosaminylmuramyl dipeptide | 30 | 30,00 ± 0,00 | 100*+ | 
 Примечание. *p < 0,05 по сравнению с интактными животными;+p < 0,05 по сравнению с вакцинированными животными.
Примечание. *p < 0,05 по сравнению с интактными животными;+p < 0,05 по сравнению с вакцинированными животными.
Note. *p < 0.05 compared to intact animals; +p < 0.05 compared to vaccinated animals.
Обсуждение
При некоторых опасных инфекционных болезнях проводится вакцинация по медицинским показаниям, т.е. вакцинируются люди, подверженные риску в тех регионах, где могут встречаться социально значимые инфекции. Многочисленные наблюдения демонстрируют, что среди контингента прививаемых есть слабо реагирующие или не отвечающие на вакцину. Кроме того, у лиц с хроническими заболеваниями напряжённость поствакцинального иммунного ответа может быть ниже, чем у практически здоровых лиц, что обусловливает необходимость применения особых подходов к вакцинации против инфекционных болезней [21]. Использование цитокинов, иммуномодуляторов при вакцинации повышает иммуногенность и протективность вакцин и предотвращает развитие вторичных иммунодефицитных состояний [22][23].
В России лицензирована и производится одна противохолерная вакцина — вакцина таблетированная холерная бивалентная химическая (РосНИПЧИ «Микроб» Роспотребнадзора). Она состоит из смеси холерогена-анатоксина и О-антигенов, полученных из инактивированных формалином бульонных культур V. cholerae O1 классического биовара штаммов 569В или КМ76 серовара Инаба и М41 серовара Огава [1], что обеспечивает формирование иммунитета к обоим сероварам холерных вибрионов, который сохраняется около 6 мес [24].
Учитывая положительные результаты, полученные при использовании иммуномодулирующих препаратов для повышения эффективности вакцинации других особо опасных инфекций [3–5][8–19], мы отобрали иммуномодуляторы, использование которых может быть эффективным для совершенствования специфической профилактики холеры. Эти препараты должны обладать комплексным иммуномодулирующим действием как на системный, так и на местный иммунитет, поэтому мы остановили свой выбор на трех иммуномодуляторах. АБ (сополимер N-окси-1,4-этиленпиперазина и N-карбокси-1,4-этиленпиперазин бромида) стимулирует продукцию антител, фагоцитоз, восстанавливает иммунные реакции при вторичных иммунодефицитных состояниях, увеличивает резистентность организма в отношении локальных и генерализованных инфекций, обладает противовоспалительным действием и т.д. НД (натриевая соль дезоксирибонуклеиновой кислоты) повышает сопротивляемость к вирусным, грибковым, бактериальным инфекциям, а также стимулирует репаративные процессы на слизистых оболочках. ГМД (синтетический аналог структурного фрагмента оболочки — пептидогликана бактериальных клеток) является активатором врождённого и приобретённого иммунитета, усиливает защиту организма от вирусных, бактериальных и грибковых инфекций, оказывает адъювантный эффект в развитии иммунологических реакций.
В процессе формирования поствакцинального иммунитета происходит перераспределение популяций и субпопуляций Лф, поэтому мы изучили влияние иммунопрепаратов на количественный и качественный состав спленоцитов и Лф ПБ вакцинированных белых мышей.
Выявлено, что сочетанное применение иммуномодуляторов и вакцины приводило к увеличению, по сравнению с контрольными и вакцинированными животными, числа CD3+-Лф и В-клеток селезёнки и ПБ на 1-й неделе поствакцинального периода. Этот эффект регистрировался до конца срока наблюдения. Также иммуномодуляторы оказывали стимулирующее действие на субпопуляцию Т-хелперов, сохраняя до конца 3-й недели их количество на уровне, превышающем таковой у контрольных и вакцинированных белых мышей.
Интенсивность формирования гуморального иммунного ответа основывается на анализе количества антигенспецифических АОК, синтезирующих иммуноглобулины. Под действием иммуномодуляторов, особенно АБ, у животных всех опытных групп регистрировалось увеличение числа АОК в ПБ по сравнению с вакцинированными животными.
В настоящее время не вызывает сомнений, что эффективность защиты от холеры связана с формированием напряжённого иммунитета слизистых оболочек, ведущую роль в котором играют IgА. Дефицит IgА приводит к беспрепятственному проникновению вирусов и бактериальных антигенов, в том числе холерного вибриона, в слизистые оболочки. При оценке влияния иммуномодуляторов на продукцию sIgA в кишечнике вакцинированных белых мышей выявлено, что во все сроки наблюдения этот процесс идёт более интенсивно у животных, получавших иммунотерапию, особенно АБ, чем у вакцинированных белых мышей.
Таким образом, применение иммуномодуляторов повышает иммуногенные свойства вакцины холерной бивалентной химической.
Протективные свойства антигенов, входящих в состав противохолерной вакцины, наиболее эффективно стимулировал ГМД, который защищал от генерализованной холеры всех взятых в эксперимент вакцинированных животных. Высокая эффективность ГМД при заражении животных может быть связана с его структурой. ГМД имитирует естественный процесс обнаружения фрагментов пептидогликана бактерий, поэтому действие препарата в наибольшей степени приближено к процессу естественной иммунорегуляции. Кроме этого, мурамилдипептиды обладают адъювантной активностью [25]. Повышение иммуногенной и протективной активностей холерной вакцины за счёт сочетанного применения её с иммуномодуляторами, особенно с ликопидом, может являться одним из подходов к совершенствованию специфической профилактики холеры.
Выводы
- Сочетанное применение иммуномодуляторов и вакцины приводит к увеличению, по сравнению с контрольными и вакцинированными животными, числа CD3+-Лф и В-клеток селезёнки и ПБ уже на 1-й неделе поствакцинального периода.
- Иммуномодуляторы стимулируют пролиферацию Т-хелперов, сохраняя их количество на уровне, превышающем таковой у контрольных и вакцинированных белых мышей, до конца срока наблюдения.
- Под действием иммуномодуляторов у животных всех опытных групп регистрируется увеличение числа АОК в ПБ.
- При оценке продукции sIgА в кишечнике вакцинированных белых мышей выявлено, что во все сроки наблюдения этот процесс идет более интенсивно у животных, получавших иммунотерапию.
- Протективные свойства противохолерной вакцины наиболее эффективно стимулирует ГМД, который защищает от генерализованной холеры всех взятых в эксперимент вакцинированных животных.
About the authors
A. V. Filippenko
Rostov-on-Don Plague Control Research Institute
							Author for correspondence.
							Email: filippenko.annushka@mail.ru
				                	ORCID iD: 0000-0002-1103-4244
				                																			                								
Anna V. Filippenko — junior researcher, Laboratory of immunology of particularly dangerous infections,
Rostov-on-Don
Russian FederationI. A. Ivanova
Rostov-on-Don Plague Control Research Institute
														Email: fake@neicon.ru
				                	ORCID iD: 0000-0001-7068-4071
				                																			                								
Inna A. Ivanova — Cand. Sci. (Biol.), leading researcher with Acting Head, Laboratory of immunology of particularly dangerous infections,
Rostov-on-Don
Russian FederationN. D. Omelchenko
Rostov-on-Don Plague Control Research Institute
														Email: fake@neicon.ru
				                	ORCID iD: 0000-0001-5208-7724
				                																			                								
Natalia D. Omelchenko — Cand. Sci. (Med.), senior researcher, Laboratory of immunology of particularly dangerous infections,
Rostov-on-Don
Russian FederationA. A. Trufanova
Rostov-on-Don Plague Control Research Institute
														Email: fake@neicon.ru
				                	ORCID iD: 0000-0002-4770-5994
				                																			                								
Anastasia A. Trufanova — junior researcher, Laboratory of immunology of particularly dangerous infections,
Rostov-on-Don
Russian FederationReferences
- Онищенко Г.Г., Кутырев В.В., Щуковская Т.Н., Смирнова Н.И., Никифоров А.К., Еремин С.А. и др. Специфическая профилактика холеры в современных условиях. Проблемы особо опасных инфекций. 2011; (1): 5–12. https://doi.org/10.21055/0370-1069-2011-1(107)-5-12
- Петров Р.В., Хаитов Р.М. Иммуногены и вакцины нового поколения: руководство. М.: ГЭОТАР-Медиа; 2011.
- Коготкова О.И., Буравцова Н.П., Ефременко Е.И., Ефременко В.И., Аксенова Л.Ю. Сочетанное применение в эксперименте живой противосибиреязвенной вакцины СТИ с ликопидом. Иммунология. 2004; 25(2): 109–11.
- Пименов Е.В., Кожухов В.В., Строчков Ю.И. Создание вакцин против сибирской язвы. Природа. 2000; (10): 12–9.
- Lauw F.N., Simpson A.J., Prins J.M., van Deventer S.J., Chaowagul W., White N.J., et al. The CXC chemokines gamma interferon (IFN-gamma) – inducible protein 10 and monokine induced by IFN-gamma are released during severe melioidosis. Infect. Immun. 2000; 68(7): 3888–93. https://doi.org/10.1128/iai.68.7.3888-3893.2000
- Propst K.L., Troyer R.M., Kellihan L.M., Schweizer H.P., Dowet S.W. Immunotherapy markedly increases the effectiveness of antimicrobial therapy for treatment of Burkholderia pseudomallei infection. Antimicrob. Agents Chemother. 2010; 54(5): 1785–92. https://doi.org/10.1128/AAC.01513-09
- Хабарова И.А., Жукова С.И., Ротов К.А., Снатенков Е.А., Топорков А.В., Викторов Д.В. Экстренная профилактика экспериментального мелиоидоза с использованием синтетических иммуномодуляторов и гетерологичных вакцин. Вестник Российского университета дружбы народов. Серия: Медицина. 2018; 22(3): 340–50. https://doi.org/10.22363/2313-0245-2018-22-3-340-350
- Жукова С.И., Демьянова О.Б., Алексеев В.В., Авророва И.В., Храпова Н.П., Дрефс Н.М. и др. Использование цитокинов для усиления иммуногенных и иммунотропных свойств антигенов Burkholderia pseudomallei. Иммунопатология, аллергология, инфектология. 2011; (1): 43–8.
- Жукова С.И., Демьянова О.Б., Авророва И.В., Занкович А.А., Алексеев В.В., Храпова Н.П. и др. Способ повышения иммуногенности антигенов B. pseudomallei при экспериментальном мелиоидозе. Патент РФ № 2483752C1; 2013.
- Демьянова О.Б., Жукова С.И., Занкович А.А., Храпова Н.П., Ротов К.А., Синтюрина Н.Н. и соавт. Использование цитокинов и синтетических пептидов для повышения иммуногенности мелиоидозных антигенов. Проблемы особо опасных инфекций. 2014; (3): 83–5. https://doi.org/10.21055/0370-1069-2014-3-83-85
- Богачева Н.В., Охапкина В.Ю., Пяткова Н.В., Федотов А.К., Кучеренко А.С. Экспериментальное изучение влияния иммуномодуляторов на эффективность применения вакцины бруцеллезной живой сухой. Эпидемиология и вакцинопрофилактика. 2016; 15(2): 84–92. https://doi.org/10.31631/2073-3046-2016-15-2-84-92
- Кравцов А.Л., Клюева С.Н., Бугоркова С.А. Влияние иммуномодуляторов на реактивность клеток иммунной системы при моделировании противотуляремийного вакцинного процесса. Эпидемиология и вакцинопрофилактика. 2016; 15(3): 94–101. https://doi.org/10.31631/2073-3046-2016-15-3-94-101
- Duckett N.S., Olmos S., Durrant D.M., Metzger D.W. Intranasal interleukin-12 treatment for protection against respiratory infection with the Francisella tularensis live vaccine strain. Infect. Immun. 2005; 73(4): 2306–11. https://doi.org/10.1128/iai.73.4.2306-2311.2005
- Pammit M.A., Budhavarapu V.N., Raulie E.K., Klose K.E., Teale J.M., Arulanandam B.P. Intranasal interleukin-12 treatment promotes antimicrobial clearance and survival in pulmonary Francisella tularensis subsp. novicida infection. Antimi¬ crob. Agents Chemother. 2004; 48(12): 4513–9. https://doi.org/10.1128/aac.48.12.4513-4519.2004
- Kumar D., Kirimanjeswara G., Metzger D.W. Intranasal administration of an inactivated Yersinia pestis vaccine with interleukin-12 generates protective immunity against pneumonic plague. Clin. Vaccine Immunol. 2011; 18(11): 1925–35. https://doi.org/10.1128/CVI.05117-11
- Каральник Б.В., Пономарева Т.С., Дерябин П.Н., Денисова Т.Г., Мельникова Н.Н., Тугамбаев Т.И. и др. Влияние иммуномодуляции на иммуногенную и протективную активность живой чумной вакцины. Журнал микробиологии, эпидемиологии и иммунобиологии. 2014; 91(6): 108–12.
- Пономарева Т.С., Дерябин П.Н., Каральник Б.В., Денисова Т.Г., Тугамбаев Т.И., Атшабар Б.Б. и др. Влияние беталейкина на показатели антигенспецифического иммунного ответа в модельных опытах иммунизации животных живой противочумной вакциной. Цитокины и воспаление. 2014; 13(1): 57–62.
- Клюева С.Н., Щуковская Т.Н. Влияние адъювантов нового поколения in vitro на продукцию цитокинов клетками крови вакцинированных против чумы лиц. Российский иммунологический журнал. 2015; 9(2): 201–8.
- Щуковская Т.Н., Курылина А.Ф., Шавина Н.Ю., Бугоркова С.А. Влияние полиоксидония, Poly (I:C), даларгина на защитное действие вакцинного штамма Yersinia pestis EV НИИЭГ при экспериментальной чуме. Российский иммунологический журнал. 2020; 23(1): 41–50. https://doi.org/10.46235/1028-7221-005-IOP
- Russell P.H., Mackay D.K.J., Ozdemir I. A rapid enzyme-linked semi-microwell assay for the enumeration of antibody-forming cells to viral and bacterial antigens in domestic animals. J. Immunol. Meth. 1987; 101(2): 229–33. https://doi.org/10.1016/0022-1759(87)90154-2
- Афиногенова В.П., Лукачёв И.В., Костинов М.П. Иммунотерапия: механизм действия и клиническое применение иммунокоррегирующих препаратов. Лечащий врач. 2010; (4): 9.
- Медуницын Н.В. Коррекция развития иммунитета при вакцинации. Биопрепараты. Профилактика, диагностика, лечение. 2010; (3): 9–10.
- Медуницын Н.В., Покровский В.И. Основы иммунопрофилактики и иммунотерапии инфекционных болезней. Руководство для врачей. М.: ГЭОТАР-Медиа; 2005.
- Онищенко Г.Г, Попова А.Ю., Кутырев В.В., Смирнова Н.И., Щербакова С.А., Москвитина Э.А. и др. Актуальные проблемы эпидемиологического надзора, лабораторной диагностики и профилактики холеры в Российской Федерации. Журнал микробиологии, эпидемиологии и иммунобиологии. 2016; 93(1): 89–101. https://doi.org/10.36233/0372-9311-2016-1-89-101
- Половинкина В.С., Марков Е.Ю. Иммуноадъювантные свойства мурамилдипептида. Acta Biomedica Scientifica. 2012; (1): 149–53.
Supplementary files
 
				
			 
					 
						
 
  
  
  
  
  Email this article
			Email this article 







