Favipiravir: the hidden threat of mutagenic action
- Authors: Zhirnov O.P.1,2, Chernyshova A.I.2,3
-
Affiliations:
- The Russian-German Academy of Medico-Social and Biotechnological Sciences
- The D.I. Ivanovsky Institute of Virology, The N.F. Gamaleya National Research Center of Epidemiology and Microbiology
- The I.M. Sechenov First Moscow State Medical University (Sechenov University)
- Issue: Vol 98, No 2 (2021)
- Pages: 213-220
- Section: REVIEWS
- URL: https://microbiol.crie.ru/jour/article/view/1005
- DOI: https://doi.org/10.36233/0372-9311-114
- ID: 1005
Cite item
Abstract
The antiviral drug favipiravir (FVP), which is a structural analogue of guanosine, undergoes chemical transformation in infected cells by cellular enzymes into a nucleotide form — favipiravir ribose triphosphate (FVPRTP). FVP-RTP is able to bind to viral RNA-dependent RNA polymerase and integrate into the viral RNA chain, causing a significant mutagenic effect through G→A and С→U transitions in the viral RNA genome. Besides the virus inhibiting effect, the increased synthesis of mutant virions under the action of FPV possess a threat of the emergence of novel threatening viral strains with high pathogenicity for humans and animals and acquired resistance to chemotherapeutic compound. There are three ways to minimize this mutagenic effect of FP. (1) Synthesis of new FPV modifications lacking the ability to integrate into the synthesized viral RNA molecule. (2) The combined use of FPV with antiviral chemotherapeutic drugs of a different mechanism of action directed at various viral and/or host cell targets. (3) Permanent application of high therapeutic doses of FPV under the strict medical control to enhance the lethal mutagenic effect on an infectious virus in the recipient organism to prevent the multiplication of its mutant forms.
Full Text
Introduction
It is well known that viruses are obligate parasites entirely dependent on their host cells. Such dependence poses a serious challenge to drug developers in their attempts to create medications that are able to inhibit the target virus without having an adverse effect on biochemical processes of the host macroorganism. It is also a major factor contributing to the limitedness of the current antiviral arsenal. The COVID-19 pandemic has brought this healthcare problem to the fore, as currently there are hardly any specific therapeutic drug options to combat the coronavirus.
Currently, there are 6 main drug development strategies to combat coronaviruses, focusing on:
1) inhibitors of viral polymerases;
2) inhibitors of the viral main protease (Mpro) that is involved in forming active viral polymerases;
3) inhibitors of cell proteases involved in activation of the viral spike (S) protein that mediates the virus entry into the target cell;
4) endosomal inhibitors of virus deproteinization;
5) preparations based on recombinant interferons α2 and β1;
6) preparations based on antiviral antibodies [1][2].
Each strategy involves intense antiviral research and development.
Lately, the search for and development of antiviral agents against COVID-19 have brought antivirals of the first group into focus; these are inhibitors of the viral RNA-dependent RNA polymerase (RdRp). For instance, hopes are pinned on the antiviral known as favipiravir (FPV)-6-fluoro-3-hydroxy-pyrazinecarboxamide [3][4]. It was synthesized and patented by Japanese researchers Y. Furuta and H. Egawa in the late 1990s [5]. During the further studies, the compound demonstrated high activity against multiple viruses, including RNA viruses, such as influenza, bunya-, arena-, flavi-, picornaviruses and others. A serious limitation of FPV is its toxic side effects for the recipient macroorganism, which are caused by teratogenic and embryotoxic properties of the medication [6][7]. For this reason, in the real-world clinical practice, FPV is permitted for medically supervised restricted use for patients with life-threatening influenza or COVID-19.
FPV demonstrates structural similarities to nucleosides, while competing functionally with guanosine and adenosine (Fig. 1); it can bind to viral RNA polymerases and inhibit their function [8]. As RNA polymerases of multiple viruses have a conserved structure and similar catalytic mechanism [9][10], FPV, disrupting the RdRp specific function, demonstrates efficacy towards a wide range of RNA viruses [4, 8, 11]. Recently, virus-specific differences have been reported regarding FPV binding in the nucleotide region of the acceptor center in RNA polymerases of different viruses [12].

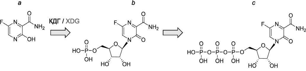
Fig. 1. Structure and intracellular modification of favipiravir.
а — favipiravir; b — favipiravir ribofuranosyl monophosphate; c — favipiravir ribofuranosyl triphosphate.
XDG — cellular xanthine dehydrogenase.
As a guanosine analog, FPV is efficiently recognized and modified by cellular enzymes, such as hypoxanthine-guanine-phosphoribosyltransferase (HGPRT) by attaching the ribose residue (ribosylation) [13–15]. The resulting FPV-ribosylphosphate undergoes additional phosphorylation of the ribose residue, acquiring properties of nucleoside triphosphate (FPV-ribosyl triphosphate or FPV-RTP) and the ability to become incorporated into the newly synthetized chain of nascent viral RNA through viral RdRp [16][17]. Incorporation of nucleoside analogs into virion RNA inhibited and disrupted the complementary base pairing during template-directed synthesis of RNA strands by the viral polymerase.
Firstly, the FPV-dependent inhibition of base pairing caused premature termination of the RNA strand synthesis and generation of short defective fragments of viral RNAs [18][19].
Secondly, the FPV incorporation into the newly synthesized RNA strand did not follow the Watson-Crick base pairing rules and led to mutations (transitions) primarily of two types: G→A and C→U [8][16][20–22]. The frequency of such mismatches in viral RNAs in infected cells increased along with the FPV concentration levels in the medium. The rate of mutations, especially G→A and C→U transitions, in viral RNAs increased 3–12 times in the infected cells incubated with FPV and reached 10–1 mutations/nucleotides in the viral genome at the FPV concentration of 500 μM [23]. Most of the mutated RNA molecules were non-functional, thus producing a lethal mutagenic effect on virus replication by disrupting the generation of a non-defective infectious virus and giving rise to building of a non-infectious viral population along with a significant decrease in the infection process [24][25]. The FPV-induced mutagenic effect led to development of the so-called abortive viral infection. It should be noted that the FPV mutagenic effect did not result in complete suppression of virus replication. At the FPV concentration of 500 μM, which is considered as an effective therapeutic concentration [3][26–30], the harvest of infectious viral particles decreased only 100–1000 times, reaching the level of around 103 infectious particles per 1 mL of the medium [23][31].
Fig. 2 presents a schematic illustration of a trilateral relationship: (1) an increase in mutations (transitions) in the virus genome along with (2) reduction of the amounts of the newly synthesized infectious virus in the population resulting from (3) the increased FPV concentration in the incubation medium of infected cell cultures. The highest risk of viral mutant occurrence is associated with the zone of median FPV concentrations (the shaded area in Fig. 2), when the virus retained its infectivity and replicability at the relatively high mutation rates. It is quite obvious that the residual pool of mutant and infectious virions formed the ground for selection of mutant variants of the virus, which would have unpredictable and dangerous characteristics, including resistance to the antiviral agent, expanded organ pantropism and high pathogenicity for humans.

Consolidated conceptual parameters obtained on cultures of cells infected with viruses are presented, which appeared to be similar for the SARS-CoV-2, influenza, Coxsackie, Ebola viruses, etc. [8][16][21][22].
The left Y-axis shows the number of infectious virions per 1 ml of the culture medium (curve 1); the right Y-axis shows the number of mutations per nucleotide in the virus genome (curve 2). The X-axis shows the concentration of FP (μM) in the culture medium of infected cells.
Targets for the antiviral action of favipiravir
The FPV antiviral action employs three main mechanisms attributable to the structural properties FPV has as a pyrimidine nucleoside analog. As a result, molecules of ribosylated FPV compete functionally with guanosine and adenosine as well as with their RTP in biosynthetic pathways (cascades) in infected cells, involving the viral RdRp. Such interference causes FPV to disrupt the synthesis of non-defective viral RNA molecules; this disruption, in its turn, leads to suppression of virus replication [8][16][21][22]. There are three main targets for FPV antiviral action.
1. Direct inhibition of viral polymerases
The inhibiting effect of FPV is associated with direct recognition and binding of the nucleoside FPVRTP by viral RNA-polymerases, including coronavirus polymerases, resulting in suppression of its polymerase function. This further leads to a slowdown and decrease in the synthesis of viral molecules in infected cells [4]. The related studies were mostly focused on influenza viruses. Since catalytic mechanisms of viral RNA polymerases are characterized by high structural and functional similarity, there are all grounds to assume that they have common parameters and are typical of polymerases in most of the families of RNA viruses, including influenza viruses, coronaviruses, picornaviruses, arenaviruses, rhabdoviruses, paramyxoviruses, flaviviruses, hepadnaviruses, noroviruses, etc. [10][23][32]. It should be noted that among RNA viruses, the COVID-19 RNA polymerase significantly outperforms RNA polymerases of influenza, foot-and-mouth disease and Ebola viruses, demonstrating a 10-fold increase in the nucleotide addition rate [23]. The high rate demonstrated by coronavirus polymerase is required by coronaviruses for transcription of a remarkably large genome of approximately 30 × 103 nucleotides; as a result, the SARS-CoV nsp12 polymerase loses its accuracy and makes several times as many errors (mutations) as RNA polymerases of other viruses. The FPV mutagenic effect aggravates this feature of the coronavirus polymerase and leads to a further 3-12-fold increase in the mutation rate, thus contributing to its lethal mutagenic effect on coronaviruses.
At the same time, coronaviruses, unlike other RNA viruses, contain nonstructural protein 14 (nsp14), which performs a proofreading function to further correct some of the errors and to compensate for the FPV action [33]. An important feature of FPV is that its FPV-RTP effector is highly selective towards the viral synthesis and has hardly any impact on cellular metabolism, as such enzymes as RdRp are absent in mammalian cells. For example, the comparison between the influenza virus RdRp and the DNA-dependent RNA polymerase of mammalian cells showed that the 50% inhibitory concentration of FPV in direct inhibition of the above RNA polymerase was 0.3 μM and more than 950 μM, respectively [3].
2. Premature termination of the viral RNA synthesis
Having only partial similarity to purine bases of guanine and, to some extent, of adenine, FPV is unable to provide totally complementary base pairing with cytosine and uracil during the synthesis of daughter RNA molecules [11]. The absence of total complementarity inhibits the operation of the polymerase and causes its disruption on the RNA template, thus leading to premature termination of the RNA synthesis and to creation of short RNA molecules [18][19]. Note that the guanine content in the SARS-CoV-2 genome is low (around 17.5%); therefore, the FPV terminating action directed at this base can boost its lethal effect on the virus [23]. Generation of prematurely terminated defective viral RNAs, which interfere with non-defective viral RNA molecules, leads to inhibition of virus replication [8][16][21][22].
3. FPV-RTP incorporation into RNA molecules and creation of virus mutations
FPV-RTP can incorporate into nascent viral RNA molecules and cause mutations in genomic or subgenomic RNAs, which are present in synthesized virions. This process creates a viral population of defective non-infectious virions, which account for the vast majority of the viral population at high FPV concentrations (250 μM and higher) [8][16][20][21][22]. Such mutant virions are not able to maintain adequate multicycle virus replication, though they can initiate the so-called abortive infection of target cells without creating a non-defective infectious virus. This mechanism is known as a mutagenic effect of antivirals on the virus progeny. As FPV-RTP is an analog (competitor) of guanosine and, partially, adenosine (A/G), its mutagenic activity in cells infected by the virus results in substitutions (the so-called transitions) in the virus genome; these substitutions are generally represented by two types: G→A and C→U [31]. This structural and functional property of FPV constitutes the core of its mutagenic effect.
Features and outcomes of the favipiravirinduced mutagenic effect
Because of its mutagenic effect, FPV can cause a significant increase in the mutation rate in the genome of synthesized virions. The mutation rate is a dose-dependent parameter: At higher concentrations of the antiviral (> 100 μM), the rate is 10–1–10–2 mutations per 1 nucleotide in the genome, while at lower concentrations, the rate remains at the level of 10–3 mutations (Fig. 2) [16][26][31]. This mutagenic effect produces two important results. At high FPV concentrations, the number of mutations is excessive and has an adverse effect on the viability of the new viral progeny – the so-called lethal effect. At low concentrations, the number of mutations decreases significantly, while being sufficient for providing a noticeable increase in the genetic diversity of the viral progeny retaining its viability [23][31].
Stimulation of mutagenesis of the viral genome results in acceleration of the virus microevolution. Firstly, the increased mutagenesis boosts the rate of occurrence of viral mutations resistant to the mutagenic agent, which are otherwise known as viral escape mutations [8][11][22]. Secondly, newly generated viral mutations contribute to the overall genetic diversity of the viral population, thus significantly increasing the occurrence probability regarding dangerous virus variants characterized by high contagiousness and pathogenicity for humans, along with an expanded host range facilitating the transmission of mutant variants to domestic and farm animals as well as generating cross-species transmission between humans and animals. This can give rise to new migration flows of the virus transmitted among different species of animals and humans.
The increased occurrence of viral mutations resulting from extensive therapeutical use of a mutagenic agent or agents can trigger a dangerous epidemic problem. This problem associated with occurrence of dangerous viral mutations poses a real-life risk, if antiviral mutagenic agents are used indiscriminately, especially when they are easily accessible and their use and therapeutic dosage are not supervised or monitored.
Minimization of risks associated with occurrence of dangerous viral mutations during treatment with antiviral mutagenic agents
The administration of antiviral mutagenic agents suggests three implementable options aimed at increasing the mutagenesis threshold, which would inhibit the genetic diversity of the infectious virus and the occurrence of dangerous viral mutations.
The first option aimed at minimization of the adverse mutagenic effect on the virus implies improvement of the structure of the antiviral agent. Modification of the structure of a mutagenic agent such as FPV should result in eliminating its ability to incorporate into a nascent RNA stand and to cause both the termination of its elongation and the disruption of the further synthesis of a non-defective molecule. This task can be fulfilled by increasing the affinity of the nucleoside component of the agent for the polymerase to make their complexing irreversible. The other solution implies modification of the structure of the ribosyl-triphosphate group to prevent building of the phosphodiester bond between the antiviral agent and the subsequent nucleotide base, which would discontinue elongation and cause disruption of the RNA synthesis.
The second option aimed to inhibit the occurrence of dangerous viral mutations involves using of combinations of antiviral agents having different mechanisms of action, being directed at different viral and/ or cellular targets. Numerous data on multiple antiviral agents, which affect different viral proteins (enzymes), including viral polymerases, demonstrate that passaging of viruses in the presence of one antiviral agent (the so-called monotherapy) boosts the generation of viral mutants resistant to that particular agent [8][11][22]. Generally, the resistant strain had a mutation in the viral gene of the protein, at which the antiviral agent was targeted. However, the concurrent (parallel) application of 2 and more antiviral agents directed at different viral and/or cellular targets does not result in any occurrence of mutant strains even after the virus was passaged for a long time in the presence of combined antiviral agents [34–37]. These data suggest that application of antiviral agents, including FPV, in combinations where the agents are directed at different targets should be seen as rational and well justified. Furthermore, using a combination of antiviral agents is generally characterized by significantly higher therapeutic efficacy and a synergistic antiviral effect [38–42].
The third option aimed to prevent dangerous consequences of the FPV mutagenic effect focuses on the range of optimal doses of the agent in the recipient. The range parameters can be based on the level of permanent concentration of min 75 μM (~30 mg/kg of body weight) [23][26]. The estimation of mutagenic FPV concentrations in the influenza-virus-infected cell culture shows that the concentration of 125 μM and higher concentrations provide effective termination of the synthesis of viral RNAs and their lethal mutagenesis, thus notably inhibiting the generation of viable virions [8][16][21][22][26][43]. Extrapolation of this concentration, taking into account the bioavailability in a human body, makes it possible to estimate the maintaining therapeutic dose of the antiviral agent, which is equal to 20– 50 mg/kg of body weight, or higher, when administered daily [44]. If therapeutic concentrations of FPV are decreased, large amounts of threatening viral mutations with different infectivity levels and unpredictable behavior will be synthesized in the body of the infected patient.
Conclusion
The FPV-induced increase in the synthesis of mutant virions poses a risk of occurrence of new dangerous viral strains characterized by high pathogenicity both for humans and animals and by acquired resistance to antiviral agents. The mutagenic effect of FPV can be minimized through the synthesis of new FPV modifications deprived of their ability to incorporate into the molecule of the synthesized RNA; by using FPV in combination with antiviral agents having other mechanisms of action and directed at different viral and/or cellular targets; by continuous and medically supervised therapy with high therapeutic FPV doses to boost a lethal mutagenic effect on the infectious virus in the recipient body to prevent occurrence of its mutations.
About the authors
O. P. Zhirnov
The Russian-German Academy of Medico-Social and Biotechnological Sciences;The D.I. Ivanovsky Institute of Virology, The N.F. Gamaleya National Research Center of Epidemiology and Microbiology
Author for correspondence.
Email: zhirnov@inbox.ru
ORCID iD: 0000-0002-3192-8405
Oleg P. Zhirnov — D. Sci. (Biol.), Prof., Corr. Member of the RAS, Head, Laboratory of viral pathogenesis, D.I. Ivanovsky Institute of Virology, N.F. Gamaleya National Research Center of Epidemiology and Microbiology; Head, Laboratory of viral pathogenesis, Russian–German Academy of Medico-Social and Biotechnological Sciences
Moscow
A. I. Chernyshova
The D.I. Ivanovsky Institute of Virology, The N.F. Gamaleya National Research Center of Epidemiology and Microbiology;The I.M. Sechenov First Moscow State Medical University (Sechenov University)
Email: fake@neicon.ru
ORCID iD: 0000-0003-1290-4042
Alyona I. Chernyshova — junior researcher, Laboratory of immunology, D.I. Ivanovsky Institute of Virology, N.F. Gamaleya National Research Center of Epidemiology and Microbiology; researcher, Russian-German Academy of Medico-Social and Biotechnological Sciences
Moscow
Russian FederationReferences
- Zhirnov O.P. Molecular targets in the chemotherapy of coronavirus infection. Biochemistry (Mosc). 2020; 85(5): 523–30. https://doi.org/10.1134/S0006297920050016
- Tsai S.C., Lu C.C., Bau D.T., Chiu Y.J., Yen Y.T., Hsu Y.M., et al. Approaches towards fighting the COVID 19 pandemic (Review). Int. J. Mol. Med. 2020; 47(1): 3–22. https://doi.org/10.3892/ijmm.2020.4794
- Furuta Y., Gowen B.B., Takahashi K., Shiraki K., Smee D.F., Barnard D.L. Favipiravir (T-705), a novel viral RNA polymerase inhibitor. Antiviral Res. 2013; 100(2): 446–54. https://doi.org/10.1016/j.antiviral.2013.09.015
- Furuta Y., Komeno T., Nakamura T. Favipiravir (T-705), a broad spectrum inhibitor of viral RNA polymerase. Proc. Jpn Acad. Ser. B Phys. Biol. Sci. 2017; 93(7): 449–63. https://doi.org/10.2183/pjab.93.027
- Furuta Y., Egawa H. Nitrogenous heterocyclic carboxamide derivatives or salts thereof and antiviral agents containing both. European Patent Office WO, 00/10569 (JP25044198 application 20.08.1998). WO2000010569A1; 2000.
- Shiraki K., Daikoku T. Favipiravir, an anti-influenza drug against life-threatening RNA virus infections. Pharmacol Ther. 2020; 209: 107512. https://doi.org/10.1016/j.pharmthera.2020.107512
- Pilkington V., Pepperrell T., Hill A. A review of the safety of favipiravir – a potential treatment in the COVID-19 pandemic? J. Virus Erad. 2020; 6(2): 45–51. https://doi.org/10.1016/s2055-6640(20)30016-9
- Abdelnabi R., Morais A.T.S., Leyssen P., Imbert I., Beaucourt S., Blanc H., et al. Understanding the Mechanism of the Broad-Spectrum Antiviral Activity of Favipiravir (T-705): Key Role of the F1 Motif of the Viral Polymerase. J. Virol. 2017; 91(12): e00487–17. https://doi.org/10.1128/jvi.00487-17
- Jordan P.C., Stevens S.K., Deval J. Nucleosides for the treatment of respiratory RNA virus infections. Antivir. Chem. Chemother. 2018; 26: 2040206618764483. https://doi.org/10.1177/2040206618764483
- Neogi U., Hill K.J., Ambikan A.T., Heng X., Quinn T.P., Byrareddy S.N., et al. Feasibility of Known RNA Polymerase Inhibitors as Anti-SARS-CoV-2 Drugs. Pathogens. 2020; 9(5): 320. https://doi.org/10.3390/pathogens9050320
- Delang L., Abdelnabi R., Neyts J. Favipiravir as a potential countermeasure against neglected and emerging RNA viruses. Antiviral Res. 2018; 153: 85–94. https://doi.org/10.1016/j.antiviral.2018.03.003
- Sada M., Saraya T., Ishii H., Okayama K., Hayashi Y., Tsugawa T., et al. Detailed molecular interactions of Favipiravir with SARS-CoV-2, SARS-CoV, MERS-CoV, and influenza virus polymerases in silico. Microorganisms. 2020; 8(10): 1610. https://doi.org/10.3390/microorganisms8101610
- Naesens L., Guddat L.W., Keough D.T., van Kuilenburg A.B., Meijer J., Vande Voorde J., et al. Role of human hypoxanthine guanine phosphoribosyltransferase in activation of the antiviral agent T-705 (favipiravir). Mol. Pharmacol. 2013; 84(4): 615–29. https://doi.org/10.1124/mol.113.087247
- Smee D.F., Hurst B.L., Egawa H., Takahashi K., Kadota T., Furuta Y. Intracellular metabolism of favipiravir (T-705) in uninfected and influenza A (H5N1) virus-infected cells. J. Antimicrob. Chemother. 2009; 64(4): 741–6. https://doi.org/10.1093/jac/dkp274
- Bixler S.L., Bocan T.M., Wells J., Wetzel K.S., Van Tongeren S.A., Garza N.L., et al. Intracellular conversion and in vivo dose response of favipiravir (T-705) in rodents infected with Ebola virus. Antiviral Res. 2018; 151: 50–4. https://doi.org/10.1016/j.antiviral.2017.12.020
- Baranovich T., Wong S.S., Armstrong J., Marjuki H., Webby R.J., Webster R.G., et al. T-705 (favipiravir) induces lethal mutagenesis in influenza A H1N1 viruses in vitro. J. Virol. 2013; 87(7): 3741–51. https://doi.org/10.1128/jvi.02346-12
- Arias A., Thorne L., Goodfellow I. Favipiravir elicit antiviral mutagenesis during virus replication in vivo. eLife. 2014; 3: e03679. https://doi.org/10.7554/elife.03679
- Sangawa H., Komeno T., Nishikawa H., Yoshida A., Takahashi K., Nomura N., et al. Mechanism of action of T-705 ribosyl triphosphate against influenza virus RNA polymerase. Antimicrob. Agents Chemother. 2013; 57(11): 5202–8. https://doi.org/10.1128/aac.00649-13
- Jin Z., Smith L.K., Rajwanshi V.K., Kim B., Deval J. The ambiguous base-pairing and high substrate efficiency of T-705 (Favipiravir) ribofuranosyl 5’-triphosphate towards influenza A virus polymerase. PLoS One. 2013; 8(7): e68347. https://doi.org/10.1371/journal.pone.0068347
- de Ávila A.I., Gallego I., Soria M.E., Gregori J., Quer J., Esteban J.I., et al. Lethal mutagenesis of hepatitis C virus induced by Favipiravir. PLoS One. 2016; 11(10): e0164691. https://doi.org/10.1371/journal.pone.0164691
- Guedj J., Piorkowski G., Jacquot F., Madelain V., Nguyen T.H.T., Rodallec A., et al. Antiviral efficacy of Favipiravir against Ebola virus: A translational study in cynomolgus macaques. PLoS Med. 2018; 15(3): e1002535. https://doi.org/10.1371/journal.pmed.1002535
- Goldhill D.H., te Velthuis A.J.W., Fletcher R.A., Langat P., Zambon M., Lackenby A., et al. The mechanism of resistance to Favipiravir in influenza. Proc. Natl Acad. Sci. USA. 2018; 115(45): 11613–8. https://doi.org/10.1073/pnas.1811345115
- Shannon A., Selisko B., Le N.T., Huchting J., Touret F., Piorkowski G., et al. Rapid incorporation of Favipiravir by the fast and permissive viral RNA polymerase complex results in SARS-CoV-2 lethal mutagenesis. Nat. Commun. 2020; 11(1): 4682. https://doi.org/10.1038/s41467-020-18463-z
- Grande-Pérez A., Lazaro E., Lowenstein P., Domingo E., Manrubia S.C. Suppression of viral infectivity through lethal defection. Proc. Natl Acad. Sci. USA. 2005; 102(12): 4448–52. https://doi.org/10.1073/pnas.0408871102
- Perales C., Mateo R., Mateu M.G., Domingo E. Insights into RNA virus mutant spectrum and lethal mutagenesis events: replicative interference and complementation by multiple point mutants. J. Mol. Biol. 2007; 369(4): 985–1000. https://doi.org/10.1016/j.jmb.2007.03.074
- Wang M., Cao R., Zhang L., Yang X., Liu J., Xu M., et al. Remdesivir and chloroquine effectively inhibit the recently emerged novel coronavirus (2019-nCoV) in vitro. Cell. Res. 2020; 30: 269–71. https://doi.org/10.1038/s41422-020-0282-0
- Cai Q., Yang M., Liu D., Chen J., Shu D., Xia J., et al. Experimental treatment with Favipiravir for COVID-19: An open-label control study. Engineering (Beijing). 2020; 6(10): 1192–8. https://doi.org/10.1016/j.eng.2020.03.007
- Joshi S., Parkar J., Ansari A., Vora A., Talwar D., Tiwaskar M., et al. Role of Favipiravir in the treatment of COVID-19. Int. J. Infect. Dis. 2020; 102: 501–8. https://doi.org/10.1016/j.ijid.2020.10.069
- Ivashchenko A.A., Dmitriev K.A., Vostokova N.V., Azarova V.N., Blinow A.A., Egorova A.N., et al. AVIFAVIR for treatment of patients with moderate COVID-19: Interim results of a phase II/III multicenter randomized clinical trial. Clin. Infect. Dis. 2020; ciaa1176. https://doi.org/10.1093/cid/ciaa1176
- Eloy P., Solas C., Touret F., Mentré F., Malvy D., de Lamballerie X., et al. Dose rationale for Favipiravir use in patients infected with SARS-CoV-2. Clin. Pharmacol. Ther. 2020; 108(2): 188. https://doi.org/10.1002/cpt.1877
- Perales C., Gallego I., de ́Avila A.I., Soria M.E., Gregori J., Quer J., et al. The increasing impact of lethal mutagenesis of viruses. Future Med. Chem. 2019; 11(13): 1645–57. https://doi.org/10.4155/fmc-2018-0457
- Li G., De Clercq E. Therapeutic options for the 2019 novel coronavirus (2019-nCoV). Nat. Rev. Drug Discov. 2020; 19(3): 149–50. https://doi.org/10.1038/d41573-020-00016-0
- Ferron F. Structural and molecular basis of mismatch correction and ribavirin excision from coronavirus RNA. Proc. Natl. Acad. Sci. USA. 2018; 115(2): E162–71. https://doi.org/10.1073/pnas.1718806115
- Ilyushina N.A., Bovin N.V., Webster R.G., Govorkova E.A. Combination chemotherapy, a potential strategy for reducing the emergence of drug-resistant influenza A variants. Antiviral Res. 2006; 70(3): 121–31. https://doi.org/10.1016/j.antiviral.2006.01.012
- Lu Y., Hardes K., Dahms S.O., Böttcher-Friebertshäuser E., Steinmetzer T., Than M.E., et al. Peptidomimetic furin inhibitor MI-701 in combination with oseltamivir and ribavirin efficiently blocks propagation of highly pathogenic avian influenza viruses and delays high level oseltamivir resistance in MDCK cells. Antiviral Res. 2015; 120: 89–100. https://doi.org/10.1016/j.antiviral.2015.05.006
- Baz M., Carbonneau J., Rhéaume C., Cavanagh M.H., Boivin G. Combination therapy with Oseltamivir and Favipiravir delays mortality but does not prevent Oseltamivir resistance in immunodeficient mice infected with pandemic A(H1N1) influenza virus. Viruses. 2018; 10(11): 610. https://doi.org/10.3390/v10110610
- Beigel J.H., Bao Y., Beeler J., Manosuthi W., Slandzicki A., Dar S.M., et al. A randomized double-blind phase 2 study of combination antivirals for the treatment of influenza. Lancet Infect. Dis. 2017; 17: 1255–65. https://doi.org/10.1016/S1473-3099(17)30476-0
- Hurt A.C., Ison M.G., Hayden F.G., Hay A.J. Second isirv antiviral group conference: overview. Influenza Other Respir. Viruses. 2013; 7(Suppl. 3): 1–7. https://doi.org/10.1111/irv.12207
- Dunning J., Baillie J.K., Cao B., Hayden F.G. Antiviral combinations for severe influenza. Lancet Infect. Dis. 2014; 14(12): 1259–70. https://doi.org/10.1016/S1473-3099(14)70821-7
- Li X., Yang Y., Liu L., Yang X., Zhao X., Li Y., et al. Effect of combination antiviral therapy on hematological profiles in 151 adults hospitalized with severe coronavirus disease 2019. Pharmacol. Res. 2020; 160: 105036. https://doi.org/10.1016/j.phrs.2020.105036
- Ortega J.T., Zambrano J.L., Jastrzebska B., Liprandi F., Rangel H.R., Pujol F.H. Understanding severe acute respiratory syndrome coronavirus 2 replication to design efficient drug combination therapies. Intervirology. 2020; 63(1-6): 2–9. https://doi.org/10.1159/000512141
- Zhirnov O.P. High protection of animals lethally infected with influenza virus by aprotinin-rimantadine combination. J. Med. Virol. 1987; 21(2): 161–7. https://doi.org/10.1002/jmv.1890210208
- Furuta Y., Takahashi K., Kuno-Maekawa M., Sangawa H., Uehara S., Kozaki K., et al. Mechanism of action of T-705 against influenza virus. Antimicrob. Agents Chemother. 2005; 49(3): 981–6. https://doi.org/10.1128/AAC.49.3.981-986.2005
- Du Y.X., Chen X.P. Response to “Dose rationale for Favipiravir use in patients infected with SARS-CoV-2”. Clin. Pharmacol. Ther. 2020; 108(2): 190. https://doi.org/10.1002/cpt.1878
Supplementary files





