Composition of microflora and state of the system of signal image-recognizing receptors of the family of Toll-like cell factors of innate immunity during 120-day isolation in sealed compartment
- Authors: Ilyin V.K.1, Orlov O.I.1, Rykova M.P.1, Komissarova D.V.1, Usanova N.A.1, Antropova E.N.1, Kutko O.V.1, Kalinin S.A.1, Ponomarev S.A.1, Shef K.A.1, Sakharova A.V.1
-
Affiliations:
- Institute of Biomedical Problems
- Issue: Vol 98, No 1 (2021)
- Pages: 36-45
- Section: ORIGINAL RESEARCHES
- URL: https://microbiol.crie.ru/jour/article/view/986
- DOI: https://doi.org/10.36233/0372-9311-95
- ID: 986
Cite item
Full Text
Abstract
Aim. This work was undertaken to assess the effect of 120-day isolation conditions in a sealed compartment with an artificial habitat on the formation of microbiocenosis and the system of signaling image-recognizing receptors of the Toll-like (TLR) family of innate immunity.
Materials and methods. The microflora of the intestine and upper respiratory tract, as well as the content of monocytes and granulocytes expressing TLRs (TLR1, TLR2, TLR4, TLR6, TLR9) in the peripheral blood, and the basal production of cytokines (IL-1β, IL-6, IL-8, IL-10, TNF-α) by immunocompetent cells of six volunteers was studied. To prevent intestinal and upper respiratory tract dysbiosis, two groups of medication were used: commercial strains (Linex and Bifidumbacterin Forte) and autoprobiotics made on the basis of protective microflora representatives isolated from each individual before the experiment.
Results. The studies showed that the stay of a healthy person in an artificial environment had a significant impact on the state of microflora and the system of TLRs of innate immunity cells. This work demonstrates for the first time unidirectional changes in the absolute content of monocytes in the peripheral blood expressing TLR1, TLR2, TLR4, TLR6, TLR9, and the total microbial count in the gastrointestinal tract and in the upper respiratory tract from the 30th to the 120th day of the experimental exposure. Oral administration of autoprobiotic medication contributed to a decrease in the content of opportunistic microflora, while maintaining a high level of protective intestinal microflora, as well as an increase in the production of TNF-α and IL-10 by immunocompetent peripheral blood cells in vitro.
Full Text
В настоящее время более чем очевидно, что организм человека существует в биоценозе с его постоянной микрофлорой. Сложные сообщества микробов, которые включают бактерии, грибы и другие виды микроорганизмов, играют фундаментальную роль в физиологических и патологических процессах организма хозяина. За последние два десятилетия появилось большое число публикаций, посвященных рассмотрению механизмов взаимодействия иммунной системы с симбиотическими микроорганизмами. Как показали клинические и экспериментальные исследования, микробиом человека, центральным органом которого являются пристеночные эпителиальные биопленки, оказывает существенное влияние на функционирование иммунной системы. В свою очередь, иммунная система в значительной степени развивалась как средство для поддержания симбиотических отношений хозяина с разнообразными микробами [1].
Особый вклад в формирование новых представлений о механизмах взаимодействия микрофлоры с иммунокомпетентными клетками внесли результаты изучения Toll-подобных рецепторов (TLRs), являющихся главными компонентами системы врожденного иммунитета [2]. Совокупность различных TLRs в комплексе с другими рецепторами и структурами обеспечивает распознавание целого ряда консервативных структур микроорганизмов и вирусов, таких как липополисахарид, пептидогликан, липопептиды и липотейхоевые кислоты, флагеллин, бактериальная и вирусная ДНК, вирусная двухцепочечная РНК. Распознавание этих лигандов ведет к запуску каскада реакций, которые через адаптор MyD88 активируют транскрипционный ядерный фактор NF-κB. Этот фактор связывается с промоторными участками ряда генов, обеспечивает их экспрессию и синтез про- и противовоспалительных цитокинов, фактора некроза опухоли-α (ФНО-α) и ряда других биоактивных соединений [3]. В последние годы появляется все больше исследований, свидетельствующих о том,
что многие лиганды, взаимодействующие с TLRs, характерны не только для патогенных микроорганизмов, но и для условно-патогенных бактерий и представителей нормальной микрофлоры [4].
В современных условиях резко возросло число стрессовых воздействий и неблагоприятных экологических факторов, сопровождающихся глубокими нарушениями микробной экологии организма хозяина [5]. Следствие этих влияний — формирование различного вида дисбиозов и вторичных иммунодефицитных состояний, при которых резко снижается резистентность организма и к экзогенной инфекции, и к эндогенным ее очагам, формирующимся на поверхности слизистых оболочек открытых полостей.
Особенно ярко действие экстремальных факторов внешней среды на организм человека проявляется при космических миссиях. Во время длительного пребывания в условиях космического полета космонавт подвергается комплексу разнообразных необычных воздействий, среди которых наиболее значимыми являются невесомость, нервно-эмоциональное напряжение, искусственная среда обитания в герметически замкнутом помещении с искусственно создаваемым микроклиматом, гипергравитация при старте, маневрировании и приземлении, галактическое космическое излучение.
Многолетний опыт исследований микробного статуса человека в космических полетах на орбитальных станциях «Салют-6», «Салют-7», «Мир» и МКС позволили сформулировать концепцию периодического накопления потенциала патогенности в системе человек–микроб в длительном космическом полёте. Одной из составляющих этой концепции было формирование массовых очагов контаминации условно-патогенными микроорганизмами различных биотопов человеческого организма. В этом процессе превалировали грамположительные кокки, происходило угнетение анаэробных представителей микрофлоры, наблюдалась временная колонизация верхних дыхательных путей (ВДП) чужеродными микроорганизмами, главным образом стафилококками. При этом отмечалось снижение колонизационной резистентности космонавтов, проявляющееся в ослаблении барьера колонизации, сформированного непатогенной комменсальной микрофлорой практически во всех биотопах. Опасность данного процесса велика с точки зрения возможности развития оппортунистических инфекций у членов экипажей космических миссий [5, 6].
С другой стороны, результаты исследования системы TLRs у российских членов экипажей экспедиций на МКС выявили высокую вариабельность содержания в периферической крови моноцитов и гранулоцитов, несущих на своей поверхности TLR2, TLR4 и TLR6, экспрессии генов TLR2 и TLR6, а также экспрессии генов молекул, участвующих в проведении сигнала через TLR-сигнальный путь и связанные с ним NF-κB-, JNK/p38-, IRF-сигнальные пути [7, 8]. Несмотря на достаточно большое количество работ, посвящённых изучению влияния факторов космического полёта на организм человека, подавляющее большинство исследований выполнено до и после космических экспедиций. В этой связи ключевую роль в изучении влияния факторов космического полёта на микробный статус и систему иммунитета играют наземные модели, позволяющие имитировать отдельные факторы космического полёта.
Целью настоящего исследования являлась оценка влияния условий 120-суточной изоляции в гермообъекте с искусственной средой обитания на формирование микробиоценоза и систему TLRs клеток врождённого иммунитета человека.
Материалы и методы
Исследование было включено в научную программу 120-суточного изоляционного эксперимента, проведённого на базе ИМБП РАН, рассмотрено и одобрено Комиссией по биомедицинской этике ИМБП РАН. Все участники эксперимента дали информированное согласие на участие в нём.
В эксперименте воспроизводились условия реального космического полёта на Луну, включающие этапы:
- перелёт до спутника с последующим облётом для поиска места посадки;
- приземление 4 членов экипажа для проведения операций на поверхности Луны;
- пребывание на орбите Луны и дистанционное управление лунным ровером для подготовки базы;
- возвращение на Землю.
Микробиологическое исследование было разделено на две части. В 1-й части для обогащения напитка брожения (НБ) были использованы препараты-пробиотики: живые лиофилизированные молочнокислые бактерии Lactobacillus acidophilus, Bifidobacterium infantis, Enterococcus faecium (линекс, «Sandoz») и бифидобактерии, сорбированные на активированном угле (бифидумбактерин форте, «ПроБиоФарм»). В предварительно восстановленный из порошка НБ (100 мл) на основе сахаромицета (107 КОЕ/мл) добавляли содержимое капсул линекс до конечной концентрации 107 КОЕ/ мл и бифидумбактерин форте до конечной концентрации 108 КОЕ/мл. Полученный НБ использовался в качестве лечебно-профилактического питания исследователями экспериментальной группы (3 человека). Остальные исследователи (3 человека) принимали только НБ без добавления пробиотиков и составили контрольную группу. Курс приема НБ с добавлением пробиотиков составлял первые 15 сут изоляционного эксперимента.
Во 2-й части исследования участники экспериментальной группы получали НБ, обогащенный культурой бактерий Lactobacillus, выделенных от операторов (аутопробиотик), а обследуемые контрольной группы принимали только НБ, без добавления пробиотических препаратов. НБ с аутопробиотиками обследуемые принимали в течение 15 сут (с 60-х по 75-е сутки изоляционного эксперимента) по 250 мл 1 раз в день.
Методика изготовления аутопробиотического препарата включала в себя отбор проб фекалий у
практически здоровых лиц в период их клинически здорового состояния за 30 дней до предполагаемого применения. Из проб выделяли аутоштаммы лактобактерий и идентифицировали их. Биомассу выделенных микроорганизмов очищали и нарабатывали на селективной питательной среде MRS для культивирования лактобактерий в анаэробных условиях до титра не менее 107–108 КОЕ/мл. Наработанную биомассу подвергали лиофилизации — высушиванию в замороженном состоянии под вакуумом в пенициллиновых флаконах. Содержание клеток аутологичных лактобацилл и энтерококков в одном флаконе было не менее 107 КОЕ/мл.
Отбор проб фекалий у обследуемых проводили на 15, 30, 60, 90 и 120-е сутки пребывания в гермообъекте (окончание изоляционного эксперимента) и 7-е сутки после окончания изоляционного эксперимента.
Пробы со слизистых ВДП и кожных покровов отбирали на 15, 30, 45, 60, 75, 90 и 105-е сутки пребывания в гермообъекте и на 7-е сутки после окончания изоляционного эксперимента.
У участников эксперимента были проведены исследования количественного, родового и видового состава микробиоценоза кишечника, ВДП и кожи (нос, рот, миндалины, подмышечная впадина, пах). Для определения родового состава микрофлоры были выполнены классические бактериальные посевы на селективных средах (Эндо, Сабуро, MSA, энтерококкагар, цитрат Симменса, MRS, Протеус ППМ, среда Вильсон–Блер, Кандида-агар и бифидо-среда) с последующим подсчётом колоний для получения результатов по количественному составу микрофлоры и вычисления микробного числа (МЧ) по стандартной методике [9]. МЧ выражали в виде lg(КОЕ/мл).
Пробы венозной крови для иммунологических исследований забирали у всех испытателей-добровольцев натощак в утренние часы на 15, 29, 57, 87 и 120-е сутки пребывания в гермообъекте в вакуумные пробирки («Greiner Bio-One») со стандартным содержанием антикоагулянтов (К3-ЭДТА и гепарин).
Содержание лейкоцитов, абсолютное и относительное количество моноцитов и гранулоцитов в периферической крови определяли на автоматическом гематологическом анализаторе «Celltac-аааааааа МЕК 6318K» («Nihon Kohden»).
Уровень в периферической крови моноцитов и гранулоцитов, экспрессирующих TLRs, оценивали с помощью мультипараметрического метода иммунофлюоресцентного анализа лейкоцитов, окрашенных флюоресцентно меченными антителами («eBioscience») к CD14, TLR1, TLR2, TLR4, TlR6, TLR9. Для определения внутриклеточной локализации TLR9 использовали пермебилизированные с применением коммерческого пермеабилизирующего раствора IntraPrep («Beckman Coulter») клетки. Анализ образцов клеточных суспензий проводили на проточном цитофлуориметре «FACSCalibur» («Becton Dickinson») в программе «CellQuest Pro». В каждом образце было проанализировано не менее 100 тыс. событий.
Базальную продукцию цитокинов определяли в культурах клеток цельной крови. Для этого гепаринизированную (20 ЕД/мл) венозную кровь разводили в 5 раз средой RPMI-1640 («SigmaAldrich»), дополненной 0,3 мг/мл L-глутамина, 5 мМ HEPES-буфера и 100 мкг/мл гентамицина, и культивировали в течение 24 ч в круглодонных стерильных пробирках. Культивирование проводили при 37°С в СО2-инкубаторе, после чего собирали супернатанты и хранили полученные образцы при –80°С до тестирования. В супернатантах культур определяли содержание цитокинов: интерлейкина (ИЛ) -1β, -6, -8, -10, ФНО-α с использованием коммерческого набора «Human Cytokine/Chemokine Panel I» («Millipore») для определения цитокинов методом мультиплексного анализа.
Результаты эксперимента были обработаны с использованием пакета прикладных программ «Statistica v.10.0 for Microsoft Windows». Данные исследования представлены в виде медианы (Ме) и интерквартильного размаха (Q25–Q75). Достоверность полученных результатов оценивали при помощи непараметрического критерия Вилкоксона.
Результаты и обсуждение
Исследования количественного и видового состава микробиоценоза кишечника и ВДП показали, что видовое разнообразие условно-патогенной микрофлоры во всех биотопах как в контрольной, так и в опытной группах на начало исследования было значительным.
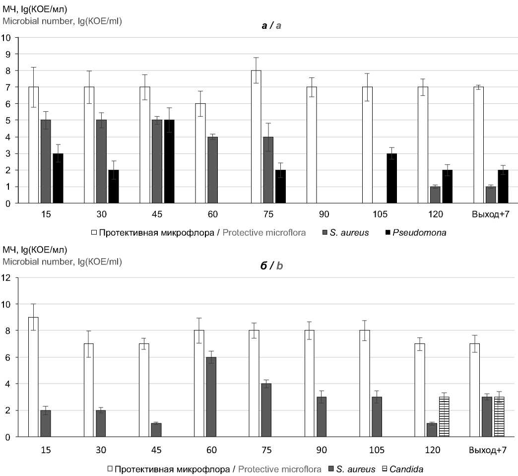
После приёма НБ с коммерческими штаммами экспериментальной группой существенных изменений в микрофлоре не произошло. Общее МЧ как протективной, так и условно-патогенной микрофлоры не изменилось. При этом после приёма НБ с аутопробиотиками общее МЧ протективной микрофлоры ВДП постепенно стабилизировалось, а также значительно снизилось (вплоть до исчезновения) содержание некоторых групп условно-патогенных микрооорганизмов, что подтверждает пролонгированное протективное действие аутопробиотического препарата (рис. 1, а).
В контрольной группе произошло снижение общего МЧ протективной микрофлоры ВДП в первой половине эксперимента, что, по-видимому, соответствует острому периоду адаптации и его последствиям. При этом в середине эксперимента наблюдалось усиление роста условно-патогенной микрофлоры, а в конце изоляционного периода к уже имеющейся группе условно-патогенных микроорганизмов S. aureus добавился ещё один условно-патогенный вид — Candida, что на фоне уменьшения общего МЧ протективной микрофлоры свидетельствует о снижении колонизационного барьера ВДП и дестабилизации микробиоты (рис. 1, б).
Рис. 1. Сравнение МЧ протективной и условно-патогенной микрофлоры ВДП у испытателей-добровольцев опытной (а) и контрольной (б) групп.
Fig. 1. Comparison of microbial quantity of protective and opportunistic microflora of upper respiratory tract of volunteers in experimental (a) and control (b) groups.При изучении микрофлоры кишечника в опытной группе после приёма коммерческих штаммов в составе НБ не было отмечено изменений в общем МЧ протективной микрофлоры, при этом к концу периода приёма препарата обнаруживались S. aureus и Candida spp. в достаточно высоком титре. После приёма НБ с добавлением аутопробиотиков условно-патогенная компонента микробиоты не была обнаружена, что говорит о большей эффективности аутопробиотических препаратов и усилении протективных способностей. Кроме того, только один из условно-патогенных видов микроорганизмов обнаружился в конце эксперимента (120-е сутки), причём в меньшем количестве, чем в начале эксперимента (рис. 2, а).
В контрольной группе не происходило существенного изменения МЧ протективной микрофлоры, однако МЧ условно-патогенной микрофлоры при этом возросло. Кроме того, в конце эксперимента, вероятно из-за микробного обмена между испытателями в замкнутом пространстве, появились виды, на первых этапах эксперимента не обнаруженные в микробиологических пробах (например, Pseudomonas aeruginosa), что говорит о дестабилизации, снижении протективности и ослаблении колонизационного барьера микрофлоры желудочно-кишечного тракта (рис. 2, б).
Рис. 2. Сравнение МЧ протективной и условно-патогенной микрофлоры желудочно-кишечного тракта у испытателей-добровольцев опытной (а) и контрольной (б) групп.
Fig. 2. Comparison of the microbial number of protective and opportunistic microflora of gastrointestinal tract of volunteers in experimental (a) and control (b) groups.Следующий этап исследований включал оценку характера и степени выраженности изменений в системе сигнальных образ-распознающих рецепторов семейства TLRs клеток врожденного иммунитета у участников эксперимента во время 120-суточной изоляции. Именно через активацию TLRs с поверхностной локализацией (TLR1, TLR2, TLR4, TLR6) происходит распознавание бактериальных структур (липополисахаридов, липопротеина, флагеллина и т.д.), а через активацию представителя семейства эндосомальных TLRs — TLR9 — связывание участков ДНК, обогащенных неметилированными последовательностями CpG (цитидин-фосфат гуанозин), характерных для ДНК бактерий [10 12].
Анализ абсолютного содержания в периферической крови моноцитов и гранулоцитов, экспрессирующих TLR1, TLR2, TLR4, TLR6 и TLR9, показал, что пребывание в гермообъекте в обеих группах сопровождалось изменениями, которые имели волнообразный характер (рис. 3). Представляет интерес тот факт, что по усредненным данным на протяжении всего исследования не выявлено существенных различий показателей, характеризующих рецепторный аппарат клеточных факторов врожденного иммунитета. Однако при рассмотрении индивидуальных данных отмечено, что основной чертой реакции системы TLRs являлось повышение уровня TLR1+-, TLR2+-, TLR4+-, TLR6+- и TLR9+ моноцитов и гранулоцитов. Так, наиболее выраженное повышение количества моноцитов, экспрессирующих эти рецепторы, наблюдалось на 29-е и 96-е сутки пребывания в гермообъекте, и гранулоцитов — на 57-е и 96-е сутки. В то же время у одного из обследованных на 29, 57, 96 и 120-е сутки периода изоляции, напротив, обнаружено существенное снижение абсолютного содержания в периферической крови моноцитов, экспрессирующих TLR1, TLR2, TLR4, TLR6, TLR9. В эти сроки обследования у данного испытателя также отмечалось снижение общего МЧ как в желудочно-кишечном тракте, так и на ВДП. В настоящее время трудно однозначно ответить на вопрос, с чем может быть связано изменение уровня TLRs у испытателей-добровольцев во время пребывания в условиях длительной изоляции в гермообъекте. Можно предположить, что отмеченные особенности изменений в системе TLRs обусловлены характером изменений количественного и видового микробиценоза.
Рис. 3. Показатели субпопуляционного состава моноцитов (×109/л) и гранулоцитов (×109/л) в периферической крови испытателей-добровольцев опытной (а) и контрольной (б) групп.
Fig. 3. Indicators of the subpopulation composition of monocytes (×109/liter) and granulocytes (×109/liter) in peripheral blood of volunteers in the experimental (a) and control (b) groups.Взаимодействуя с микробиотой, TLRs запускают ряд сигналов, которые влияют на синтез иммуномодулирующих цитокинов [13]. Определение продукции цитокинов клетками цельной крови позволяет охарактеризовать секреторную активность иммуноцитов и выявить дефекты биосинтеза ряда основных медиаторов межклеточного взаимодействия. При этом базальная продукция цитокинов иммунокомпетентными клетками свидетельствует о том, насколько эти клетки активированы in vivo. С нашей точки зрения, использование цельной крови устраняет вероятность нежелательной активации или гибели моноцитов и гранулоцитов. К тому же культивирование происходит в условиях естественного микроокружения, при сохранении баланса всех гуморальных факторов, действующих in vivo.
Изучение базальной способности иммунокомпетентных клеток секретировать в системе in vitro ряд цитокинов (ИЛ-1β, ИЛ-6, ИЛ-8, ФНО-α и ИЛ-10) позволило отметить следующие особенности (рис. 4). Во-первых, в периоде герметизации базальная продукция ИЛ-1β, ИЛ-6, ИЛ-8, ФНО-α и ИЛ-10 в опытной и контрольной группах существенно не различалась. Во-вторых, рассмотрение динамики индивидуальных данных показало, что у 2 обследуемых в опытной группе и 2 обследуемых в контрольной группе начиная с 60-х суток экспериментального воздействия увеличивалась базальная продукция всех цитокинов по сравнению с индивидуальным исходным уровнем, причём в обеих группах это повышение было более выражено на 96-е сутки. Однако такое повышение не было статистически достоверным. В то же время при анализе корреляционной взаимосвязи базального синтеза цитокинов и общего МЧ микрофлоры кишечника выявлено, что в конце экспериментального воздействия наблюдались средняя и высокая степени корреляции между общим МЧ и уровнем секреции некоторых цитокинов: в опытной группе — для ИЛ-1β (r = 0,982), ИЛ-6 (r = 0,925) и ИЛ-10 (r = 0,685), а в контрольной группе — для ИЛ-1β (r = –0,559), ИЛ-6 (r = 0,999), ИЛ-8 (r = 0,797) и ФНО-α (r = 0,963). Несмотря на незначительное число наблюдений, нельзя исключить значимость аутологичных лактобацилл и энтерококков в поддержании баланса провоспалительных цитокинов (ИЛ-1β, ИЛ-6, ИЛ-8, ФНО-α) и противовоспалительного цитокина ИЛ-10.
Рис. 4. Синтез цитокинов (пг/мл) в 24-часовых нестимулированных культурах клеток цельной крови испытателей-добровольцев опытной (а) и контрольной (б) групп.
Fig. 4. Synthesis of cytokines (pg/ml) in 24-hour unstimulated whole blood cell cultures of volunteers of the experimental (a) and control (b) groups.По-видимому, симбиотические бактерии, входящие в состав пробиотиков, могут оказывать иммуномодулирующее действие путем регуляции секреции цитокинов Th1- и Th2-типов [14]. Это действие пробиотических препаратов может быть обусловлено способностью поверхностных структур и ДНК бактериальных клеток взаимодействовать с TLRs, причем это взаимодействие может приводить к неоднозначным последствиям, что в значительной мере зависит от штамма пробиотика. Так, показано, что бактерии L. acidophilus, L. casei и L. delbrueckii вызывали повышение содержания цитокинов Th1-типа (ФНО-α, интерферон-γ), а заметное повышение цитокинов Th2-типа (ИЛ-10, ИЛ-4) обнаруживали главным образом у животных, получавших L. delbrueckii и L. casei [3].
Таким образом, полученные нами результаты указывают, что пребывание здорового человека в искусственной среде обитания, моделирующей ряд факторов космического полета на Луну, оказало существенное влияние на состояние микрофлоры и систему TLRs клеток врожденного иммунитета. Наблюдаемые в эксперименте изменения продемонстрировали, что важным условием процесса адаптации при 120-суточной изоляции в гермообъекте является постоянное взаимодействие между клетками врожденного иммунитета и миллиардами сапрофитных и условно-патогенных микроорганизмов, окружающих и населяющих человеческий организм. Дальнейшее накопление данных в этой области исследований будет способствовать формированию более полного представления о механизмах нарушений функционирования системы образ-распознающих рецепторов при длительном воздействии на организм человека экстремальных факторов среды обитания, а также разработке персонализированных подходов к использованию пробиотиков с целью профилактики и купирования негативных сдвигов в этой системе.
About the authors
V. K. Ilyin
Institute of Biomedical Problems
Author for correspondence.
Email: piton2004@bk.ru
ORCID iD: 0000-0003-3896-5003
Vyacheslav K. Ilyin — D. Sci. (Med.), Head, Laboratory of human microbial ecology
Moscow
Russian FederationO. I. Orlov
Institute of Biomedical Problems
Email: fake@neicon.ru
Oleg I. Orlov — D. Sci. (Med.), Academician of the RAS, Member of the International Academy of Astronautics, Director, SCOPUS ID: 7005642343
Moscow
Russian FederationM. P. Rykova
Institute of Biomedical Problems
Email: fake@neicon.ru
ORCID iD: 0000-0002-9121-5351
Marina P. Rykova —D. Sci. (Med.), leading researcher, Laboratory of physiology of the immune system
Moscow
Russian FederationD. V. Komissarova
Institute of Biomedical Problems
Email: fake@neicon.ru
ORCID iD: 0000-0001-6374-4515
Daria V. Komissarova — Cand. Sci. (Biol.), senior researcher, Laboratory of nutrition, water supply, gastroenterology and hygienic control of physical factors of the environment
Moscow
Russian FederationN. A. Usanova
Institute of Biomedical Problems
Email: fake@neicon.ru
ORCID iD: 0000-0002-8485-4470
Nonna A. Usanova — senior researcher, Laboratory of human microbial ecology
Moscow
Russian FederationE. N. Antropova
Institute of Biomedical Problems
Email: fake@neicon.ru
ORCID iD: 0000-0002-4681-7951
Eugenia N. Antropova — Cand. Sci. (Biol.), senior researcher, Laboratory of physiology of the immune system
Moscow
Russian FederationO. V. Kutko
Institute of Biomedical Problems
Email: fake@neicon.ru
ORCID iD: 0000-0002-5522-7777
Olga V. Kutko — researcher, Laboratory of physiology of the immune system
Moscow
Russian FederationS. A. Kalinin
Institute of Biomedical Problems
Email: fake@neicon.ru
ORCID iD: 0000-0003-4424-7518
Sergey A. Kalinin — Cand. Sci. (Biol.), senior researcher, Laboratory of physiology of the immune system
Moscow
Russian FederationS. A. Ponomarev
Institute of Biomedical Problems
Email: fake@neicon.ru
ORCID iD: 0000-0002-5364-7815
Sergey A. Ponomarev — Cand. Sci. (Med.), leading researcher, Head, Laboratory of physiology of the immune system
Moscow
Russian FederationK. A. Shef
Institute of Biomedical Problems
Email: fake@neicon.ru
ORCID iD: 0000-0003-2651-7123
Kirill A. Shef — junior researcher, Laboratory of nutrition, water supply, gastroenterology and hygienic control of physical factors of the environmen
Moscow
Russian FederationA. V. Sakharova
Institute of Biomedical Problems
Email: fake@neicon.ru
ORCID iD: 0000-0002-9642-7804
Alexandra V. Sakharova — senior laboratory technician, Laboratory of human microbial ecology
Moscow
Russian FederationReferences
- Belkaid Y., Hand T.W. Role of the microbiota in immunity and inflammation. Cell. 2014; 157(1): 121–41. https://doi.org/10.1016/j.cell.2014.03.011
- Janeway C.A., Medzhitov R. Innate immune recognition. Annu. Rev. Immunol. 2002; 20(1): 197–216. https://doi.org/10.1146/annurev.immunol.20.083001.084359
- Бондаренко В.М., Лиходед В.Г. Взаимодействие кишечной микрофлоры с Toll-подобными рецепторами в норме и патологии. Медицинский вестник Юга России. 2010; (1): 4–8.
- Round J.L., Mazmanian S.K. The gut microbiota shapes intestinal immune responses during health and disease. Nat. Rev. Immunol. 2009; 9(5): 313–23. https://doi.org/10.1038/nri2515
- Ильин В.К., Воложин А.И., Виха Г.В. Колонизационная резистентность организма в изменённых условиях обитания. М.: Наука; 2005.
- Ильин В.К., Кирюхина Н.В. Синдром нарушения колонизационной резистентности человека в искусственной среде обитания и его профилактика. Acta Naturae. 2014; 6(2): 10–8.
- Берендеева Т.А., Пономарев С.А., Антропова Е.Н., Рыкова М.П. Toll-подобные рецепторы клеток периферической крови космонавтов после длительных космических полётов на Международной космической станции. Авиакосмическая и экологическая медицина. 2015; 49(6): 49–54.
- Пономарев С.А., Берендеева Т.А., Калинин С.А., Муранова А.В. Состояние системы сигнальных образ-распознающих рецепторов моноцитов и гранулоцитов периферической крови космонавтов до и после длительных полётов на Международную космическую станцию. Авиакосмическая и экологическая медицина. 2016; 50(5): 18–23. https://doi.org/10.21687/0233-528X-2016-50-5-18-23
- Нетрусов А.И., Егорова М.А., Захарчук Л.М. Практикум по микробиологии. М.: Академия; 2005.
- Akira S., Uematsu S., Takeuchi O. Pathogen recognition and innate immunity. Cell. 2006; 124(4): 783–801. https://doi.org/10.1016/j.cell.2006.02.015
- Kumar H., Kawai T., Akira S. Toll-like receptors and innate immunity. Biochem. Biophys. Res. Commun. 2009; 388(4): 621–5. https://doi.org/10.1016/j.bbrc.2009.08.062
- Medzhitov R. Toll-like receptors and innate immunity. Nat. Rev. Immunol. 2001; 1(1): 135–45. https://doi.org/10.1038/35100529
- Akira S., Takeda K. Toll-like receptor signaling. Nat. Rev. Immunol. 2004; 4(7): 499–511.
- Hardy H., Harris J., Lyon E., Beal J., Foey A.D. Probiotics, prebiotics and immunomodulation of gut mucosal defences: Homeostasis and immunopathology. Nutrients. 2013; 5(6): 1869–912. https://doi.org/10.3390/nu5061869
Supplementary files







