Characteristics of Nasopharyngeal Carriage of Bacterial Pathogens in Children and Adults Suffering from Recurrent Respiratory Infections in Khabarovsk City in 2015–2018
- Authors: Shmуlenko V.A.1,2, Bondarenko A.P.1, Trotsenko O.E.1, Turkutyukov V.B.2, Bazykina E.A.1
-
Affiliations:
- Khabarovsk Research Institute of Epidemiology and Microbiology
- Pacific State Medical University
- Issue: Vol 97, No 3 (2020)
- Pages: 242-250
- Section: ORIGINAL RESEARCHES
- URL: https://microbiol.crie.ru/jour/article/view/828
- DOI: https://doi.org/10.36233/0372-9311-2020-97-3-6
- ID: 828
Cite item
Full Text
Abstract
Objective. To designate the nasopharyngeal carriage of bacterial pathogens among children and adults diagnosed with recurrent respiratory diseases residing in the Khabarovsk city during a four-year period.
Materials and methods. Nasopharyngeal and oral swabs obtained from 7,043 children and adults were tested using classical bacteriological methods. In order to grow “difficult-to-culture” microorganisms a columbian agar with addition of 5% defibrinated sheep blood, incubation in the atmosphere rich with CO2 (5%), bacteriological analyzer Vitek 2 Compact were used. Real-time PCR was used to confirm the identification of S. pyogenes.
Results. A high level of nasopharyngeal pathogens carriage (47%) was detected. The most prevalent microorganisms were as follows: S. pneumoniae (47%), M. catarrhalis (30.4%), H. influenzaе (17.5%), S. pyogenes (5.2%). The age groups at risk were children aged 0–6 years for S. pneumoniae and children aged 7–12 years for S. pyogenes. An emerging trend it the level of nasopharyngeal carriage of S. pneumoniae observed in 2018 was followed by the increase of registered incidence of pneumococcal pneumonia.
Conclusion. Nasopharyngeal carriage of S. pneumoniae imposes a high risk of community-acquired pneumonia and other pneumococci-associated diseases, predominantly in children.
Full Text
Введение
Часто болеющие дети — это группа детей, характеризующаяся более высоким, чем у их сверстников, уровнем заболеваемости острыми респираторными инфекциями [1].
В современной литературе часто болеющих детей относят к группе лиц с рецидивирующим или рекуррентным течением острых респираторных заболеваний. Частота встречаемости этой группы диспансерного наблюдения в детской популяции большинства стран мира находится на уровне 1550% [1, 2]. На долю заболеваний лор-органов у часто болеющих детей приходится 50-70% случаев [3-5].
Обсуждаются различные точки зрения на причины частых респираторных инфекций. Первая — дисфункция иммунной системы. Вторая — генетическая предрасположенность, наследственно обусловленный «поздний старт» иммунной системы [1, 6]. В последние годы эта проблема рассматривается также с позиций оценки микробиоты верхних дыхательных путей и реализации её патогенного влияния на организм человека. Внедрение современных технологий изучения микробиома человека (высокопродуктивное секвенирование), наличие открытых баз данных микроорганизмов (NCBI/BLAST) позволили расширить наши представления о формировании микробиоценоза верхних дыхательных путей, а также дисбиоза. Так, получена информация о чрезвычайной сложности микробных сообществ в этом локусе [3, 7, 8]. Микробиоценоз респираторного тракта начинает формироваться в перинатальный и неонатальный периоды, в том числе за счёт присоединения микрофлоры родовых путей матери. Наиболее близкий к материнской флоре носоглоточный микробиом был выявлен у детей в двухмесячном возрасте [9]. Он представляет собой сложную динамическую структуру, в состав которой входят резидентные (большая часть) и транзиторные микроорганизмы. Резидентная флора приспособлена к колонизации в этом биотопе, участвует в поддержании общего гомеостаза и защите организма от обсеменения болезнетворными микроорганизмами [3].
В период 1-го года жизни происходит прогрессивное изменение микробиома носоглотки в сторону заселения условно-патогенной флорой: Staphylococcus aureus, Streptococcus pneumoniae, Moraxella catarrhalis и др. [9]. При этом условно-патогенная флора, в частности S. aureus, имеет множество факторов патогенности, способность продуцировать агрессивные ферменты и высвобождать гистамин из клеток макроорганизма, что является основой для развития аллергического воспаления органов дыхания. Некоторые представители транзиторной микрофлоры носоглоточного локуса (родов Pseudomonas, Acinetobacter, Haemophilus, Streptococcus и др.) могут продуцировать гистамин самостоятельно, что служит пусковым механизмом для атопического воспаления и патологии носа, глотки, бронхов [10]. R.P. Dickson и соавт. [11] заостряют внимание на том, что воспаление при хронических заболеваниях респираторного тракта интенсивно поддерживается дисбиотическими нарушениями на слизистых оболочках дыхательных путей (dysbiosis — inflammation cycle). Отмечается при этом, что дисбиоз поддерживает воспаление, а воспаление — дисбиоз. Клинически это проявляется хроническим ринитом, синуситом, отитом, аденоидитом, тонзиллофарингитом и т.п. По мнению тех же авторов, dysbiosis — inflammation cycle — ключевое звено патогенеза рецидивирующих респираторных инфекций у детей, через которое может происходить переход рецидивирующих инфекций респираторного тракта в хронические.
Таким образом, изучение микробиома верхних дыхательных путей в норме и при патологии является сложной, многофакторной задачей, позволяет установить механизмы и закономерности формирования бактериальной флоры в различных биотопах этих путей [3]. Углублённый анализ носительства назофарингеальных патогенов позволит выявить факторы и группы риска заболеваний органов дыхания.
Необходимым условием для выполнения этой задачи является усовершенствование методических приёмов исследования микрофлоры и эпидемиологического анализа назофарингеального бактериального носительства и его последствий.
Цель исследований: по материалам четырёхлетних наблюдений (2015-2018 гг.) представить характеристику назофарингеального носительства бактериальных патогенов у детей и взрослых с рецидивирующими респираторными заболеваниями в г. Хабаровск.
Материалы и методы
Изучена микрофлора зева и носа 7043 детей и взрослых с респираторной патологией, находившихся на амбулаторном этапе наблюдения в 20152018 гг., в том числе 2820 детей в возрасте 0-6 лет, 702 детей возрастной группы 7-12 лет, 273 подростков 13-18 лет и 3248 взрослых пациентов.
Отбор проб для исследования проводился в соответствии с действующими нормативными документами [12]. Материалом для исследования явились мазки с задней стенки глотки и миндалин, а также из носа, взятые при глубоком введении стерильных тампонов в носовые ходы и помещённые в транспортную среду Стюарта. Время между забором материала и началом исследования не превышало 2 ч.
Посев материала проводили тампоном на оптимальный для выделения пневмотропных микроорганизмов набор питательных сред (кровяной агар (КА) с добавлением 3,5% лошадиной сыворотки и 5% эритроцитов барана, шоколадный агар, желточно-солевой агар (ЖСА), среда Эндо, среда Сабуро, сахарный бульон), позволяющий выявить основные патогены. При посеве на КА вначале посевным тампоном делали «площадку» на поверхности 1/3 чашки, затем с помощью бактериологической петли «растягивали» посевной материал с площадки, производя по 10-12 перпендикулярных к площадке штрихов на остальную поверхность чашки. Такой приём позволял получить разреженный рост изолированных колоний. Дополнительно мы применяли метод «подкормки» роста гемофильных бактерий на КА [13, 14]. Для этого по центру чашки Петри с посевом мазков из носа проводили подсев бульонной культуры гемолитического стафилококка. При росте стафилококка по обе стороны штриха образуется зона гемолиза, в которой содержатся продукты распада эритроцитов — ростовые факторы X и V, необходимые гемофильным бактериям.
Учёт результатов посевов проводили через 18-24 ч их инкубации в термостате (для КА — в СО2-инкубаторе). Второй учёт производили через 48 ч хранения чашек при комнатной температуре.
На чашках с КА рост гемофилов формировался вокруг пневмококков, стафилококков («сателлитный рост»). В случае гемофильной моноинфекции гемофилы вырастали в зоне гемолиза вдоль штриха подсеянного гемолитического стафилококка. Повторный просмотр чашек через 48 ч позволял более полно оценить состав выросшей флоры и количественные соотношения компонентов, растущих в условиях сложного взаимодействия микробных ассоциаций. При отсутствии роста в прямом посеве проводили высев на КА и ЖСА со среды обогащения (сахарного бульона).
Выросшие микроорганизмы идентифицировали с использованием наиболее рационального в каждом случае набора методов:
- классические тесты с оптохином, желчными кислотами, сапонином, бацитрацином;
- агглютинирующие сыворотки для идентификации стрептококков;
- тест-системы ПЦР для подтверждения Streptococcuspyogenes;
- хромогенные среды;
- пёстрые ряды.
Опорными признаками для идентификации моракселл выбраны:
- скольжение колоний по поверхности агара при сдвигании петлёй;
- положительный тест на оксидазу и каталазу;
- отсутствие ферментации глюкозы и лактозы.
Окончательную идентификацию осуществляли в бактериологическом анализаторе «Vitek 2 Compact».
Статистическая обработка полученных данных проводилась с помощью программы Statistica 6.0. Высчитывали среднее значение, ошибку средней величины, критерий χ2 Пирсона, в том числе с поправкой Йетса (χ2Йетса), и точный критерий Фишера (рFisher exact). Даты в знаменателе обозначения χ2 означают сравниваемые годы, например, сравнивались значения 2015 и 2018 гг. χ22015;2018). Средний темп прироста (Тпр ) вычисляли методом наименьших квадратов. Нулевая гипотеза отклонялась при уровне значимости p < 0,05.
Результаты и обсуждение
Перечень основных бактериальных патогенов и частота их выделения у лиц разных возрастных групп в Хабаровске представлены в табл. 1. В течение 4 лет на амбулаторном этапе были обследованы 7043 пациента с патологией верхних дыхательных путей.
Таблица 1. Частота выделения основных бактериальных патогенов у лиц разных возрастных групп в г. Хабаровск в 2015-2018 гг. (n = 7043)
Table 1. Frequency of isolation of the main bacterial pathogens in individuals of different age groups in Khabarovsk city in 2015-2018 (n = 7043)
Возбудители Pathogens | Возраст пациента Age of patients | Всего Total | ||||||||
|---|---|---|---|---|---|---|---|---|---|---|
0-6 | 7-12 | 13-18 | 19 и старше 19 and older | |||||||
абс. abs. | % | абс. abs. | % | абс. abs. | % | абс. abs. | % | абс. abs. | % | |
S. pneumoniae | 683 | 24,2 | 60 | 8,6 | 7 | 2,6 | 55 | 1,7 | 805 | 11,4 |
H. influenzae | 226 | 8,0 | 28 | 4,0 | 4 | 1,5 | 42 | 1,3 | 300 | 4,3 |
M. catarrhalis | 443 | 15,7 | 39 | 5,6 | 4 | 1,5 | 36 | 1,1 | 522 | 7,4 |
S. pyogenes | 42 | 1,5 | 22 | 3,1 | 3 | 1,1 | 22 | 0,7 | 89 | 1,3 |
S. agalactiae | 0 | 0 | 4 | 0,6 | 0 | 0 | 8 | 0,3 | 12 | 0,17 |
S. aureus | 1151 | 40,8 | 414 | 59 | 146 | 53,5 | 1037 | 32 | 2748 | 39,0 |
Энтеробактерии Enterobacteria | 167 | 5,9 | 32 | 4,6 | 23 | 8,4 | 444 | 13,7 | 666 | 9,5 |
Неферментирующие грамотрицательные бактерии Non-fermenting gram-negative bacteria | 130 | 4,6 | 15 | 2,1 | 5 | 1,8 | 69 | 2,1 | 219 | 3,1 |
Грибы рода Candida Fungi of the genus Candida | 498 | 17,7 | 112 | 16,0 | 51 | 18,7 | 508 | 15,6 | 1169 | 16,6 |
Число изолятов Number of isolates | 3340 |
| 726 |
| 243 |
| 2221 |
| 6530 |
|
Отрицательный результат Negative result | 439 | 15,6 | 83 | 11,8 | 49 | 18 | 963 | 29,7 | 1534 | 21,8 |
Всего обследовано лиц Total number of persons surveyed | 2820 | 84,4 | 702 | 88,2 | 273 | 82 | 3248 | 70,3 | 7043 | 100 |
Патогенная микрофлора выявлена у 5509 пациентов из 7043 обследованных (78,2 ± 0,49%). Частота обнаружения патогенов была высокой у детей всех возрастных групп (84,4 ± 0,43%; 88,2 ± 0,38%; 82,0 ± 0,46%) и ниже у взрослых (70,3 ± 0,54%; χ2 = 218,2; p < 0,00001). По суммарным данным наиболее часто в группе наблюдения отмечалось носительство S. aureus (39,0 ± 0,58%) и грибов рода Cаndida (16,6 ± 0,44%). Чаще всего эти два возбудителя выявлялись в ассоциациях с другими патогенами.
В последние годы в научной литературе появились данные о том, что штаммы S. aureus, изолируемые от назофарингеальных носителей, в том числе бессимптомных, могут обладать генетическими детерминантами патогенности, что указывает на потенциальную опасность этих микроорганизмов как возможных возбудителей эндогенных и экзогенных инфекционно-воспалительных процессов. Биотоп (слизистая полости носа) следует рассматривать как возможный источник штаммов с патогенным потенциалом, нуждающийся в санации [15]. Эта проблема продолжает оставаться актуальной и активно обсуждается врачебным сообществом.
Вместе с тем внимание клиницистов (педиатров, отоларингологов, терапевтов) по разным причинам направлено на выявление уровней носитель- ства четырёх патогенов: S. pneumoniae, Haemophilus influenzae, M. catarrhalis, S. pyogenes — как наиболее значимых в патологии респираторного тракта. Три из них (S. pneumoniae, H. influenzae, S. pyogenes) причастны к тяжёлым инвазивным формам. M. ca- tarrhalis в иностранной литературе, как правило, относится к значимым возбудителям. В отечественных немногочисленных публикациях идёт лишь накопление информации об участии M. catarrhalis в патологии респираторного тракта, практически отсутствуют сведения о частоте носительства этого патогена. Отсутствие опыта выделения моракселл культуральным методом, высокая стоимость готовых тест-систем и наборов для идентификации, отсутствие ПЦР-наборов для экспресс-диагностики затрудняют поиск и идентификацию данных микроорганизмов в клиническом материале для практических бактериологов и в некоторых случаях приводят к абсолютному их игнорированию. Эти обстоятельства не позволяют объективно оценить роль M. catarrhalis в патологии респираторных заболеваний [16].
Анализ состояния диагностики стрептококковых инфекций, проведённый нами при выездах на территории Дальневосточного федерального округа, а также при просмотре отчётов и лабораторных журналов бактериологических лабораторий в г. Хабаровске, демонстрирует полное отсутствие данных о выделении S. pyogenes или регистрацию единичных положительных случаев. Нами установлено, что на практике имеют место нарушения как на этапе забора и транспортировки материала для исследования, так и на этапе его посева. Эта информация также послужила мотивацией к изучению носительства S. pyogenes.
S. pneumoniae был выявлен у 805 человек из 7043 обследованных лиц (11,4 ± 0,38%), причём статистически значимо чаще в возрастной группе 0-6 лет (24,2 ± 0,51%), в сравнении с группой детей 7-12 лет (8,6 ± 0,33%; χ2 = 48,2; p < 0,0001) и группами подростков (2,6 ± 0,18%; χ2 = 48,6; p < 0,0001) и взрослых (1,7 ± 0,15%; χ2 = 548,7; p < 0,00001).
M. catarrhalis по уровню носительства занимает 2-е место после S. pneumoniae и выявлена у 522 (7,4 ± 0,31%) лиц из 7043 обследованных. Чаще она выделялась в возрастной группе 0-6 лет (15,7 ± 0,43%), в 2,8 раза реже — в средней возрастной группе (5,6 ± 0,27%; χ2 = 48,2; p < 0,00001) и редко — среди подростков (1,5 ± 0,14%; χ2 = 39,7; p < 0,00001) и взрослых (1,1 ± 0,12%; χ2 = 440,6; p < 0,00001).
H. influenzae выявлена у 300 из 7043 обследованных лиц (4,3 ± 0,24%), также чаще в возрастной группе 0-6 лет (8,0 ± 0,32%), вдвое реже — в группе детей 7-12 лет (4,0 ± 0,23%; χ2 = 12,7; p = 0,0004) и ещё реже — у подростков (1,5 ± 0,14%; χ2 = 14,4; p = 0,0001) и взрослых лиц (1,3 ± 0,13%; χ2 = 158,3; p < 0,00001).
S. pyogenes обнаружен у 89 лиц из 7043 обследованных (1,3 ± 0,13%). В отличие от пневмококков и гемофилов S. pyogenes чаще выявлялся в средней возрастной группе 7-12 лет (3,1 ± 0,21%), в других возрастных группах носительство отмечено в пределах 1,5 ± 0,14%; 1,1 ± 0,12%; 0,7 ± 0,09% соответственно. Причём если в средней детской группе отмечен статистически значимо более высокий процент выделения S. pyogenes по сравнению с детьми в возрасте 0-6 лет χ2Йетса = 7,6; p = 0,006) и взрослым населением χ2Йетса = 29,4; p < 0,00001), то между детьми 7-12 и подростками 13-18 лет эта разница оказалась несущественной χ2Йетса = 2,5; p = 0,1).
Таким образом, ранговое положение основных возбудителей, определяющих назофарингеальное носительство патогенов у лиц г. Хабаровска (п = 1716), представляется таковым: S. pneumoniae (47,0 ± 1,2%), M. catarrhalis (30,4 ± 1,11%), H. influenzae (17,5 ± 0,92%), S. pyogenes (5,2 ± 0,54%).
На следующем этапе анализа была установлена тенденция носительства четырёх основных патогенов в отдельные годы из наблюдаемых четырёх лет. Уровень носительства S. pneumoniae имеет тенденцию к росту в 2018 г. (11,9 ± 0,65%; 10,1 ± 0,66%; 11,0 ± 0,84%; 13,3 ± 0,99% соответственно в 2015-2018 гг.). Для H. influenzae отмечена противоположная тенденция (6,1 ± 0,48%; 4,2 ± 0,44%; 2,5 ± 0,42%; 2,6 ± 0,47%). Для catarrhalis поддерживается один и тот же уровень носительства — от 7,5 ± 0,53% в 2015 г. до 8,4 ± 0,81% в 2018 г. Наконец, для pyogenes, несмотря на низкие показатели носительства, отмечен рост выявления в 3,6-5,5 раза в период наблюдения в 2015-2018 гг.: 0,9 ± 0,19%; 0,6 ± 0,17%; 1,2 ± 0,29%; 3,2 ± 0,51%.
В последнем случае уровни выделения S. pyogenes выросли в 2017-2018 гг. вследствие оптимизации методических приёмов диагностики на этапе первичного посева (достижение роста изолированных колоний на плотных питательных средах, использование эритроцитов барана для выявления характерного β-гемолиза, дополнительное обогащение КА путём введения лошадиной сыворотки).
В основе ситуации с нарастанием показателей носительства S. pneumoniae лежат и другие причины. Статистически значимый рост отмечен за 2015–2018 гг. в младшей возрастной группе — 0–6 лет (Тпр = 3,9; χ2 2015;2018 = 4,8; p = 0,03), в средней — 7–12 лет (Тпр = 11,7; χ2 2015;2018 = 2,1; p = 0,08) и подростковой — 13–18 лет (Tпр = 19,62; pFisher exact = 0,3) (табл. 2). Несмотря на выявленный в указанных возрастных группах прирост значений, статистически значимого изменения показателей между 2015 и 2018 г. среди общего числа ежегодно обследуемых лиц не регистрировалось. Аналогично и в группе лиц 19 лет и старше значения остались практически на одном уровне (Tпр = 3,19; χ2 Йетса,2015;2018 = 0,08; p = 0,8).
Таблица 2. Уровни назофарингеального носительства пневмококка у лиц разных возрастных групп в Хабаровске в 2015–2018 гг. (n = 7043)
Table 2. Levels of nasopharyngeal pneumococcal carriage in individuals of different age groups in Khabarovsk city in 2015–2018 (n = 7043)
В предыдущих исследованиях нами была показана статистически достоверная взаимосвязь между эпидемическим процессом внебольничной пневмонии и носительством пневмококков, отображающая проявления скрыто протекающего эпидемического процесса пневмококковой инфекции [17]. Такая же тенденция отмечена и в иностранной литературе [18].
По данным статистической формы № 2 «Сведения об инфекционных и паразитарных заболеваниях», в г. Хабаровске отмечен рост заболеваемости пневмококковой пневмонией в 7,3 раза в 2018 г. (12,01 на 100 тыс. населения) по сравнению с 2017 г. (1,64 на 100 тыс. населения). Вполне вероятна смена ведущих серотипов пневмококка, что может обусловить рост заболеваемости и уровней носительства.
Представленные материалы обосновывают необходимость продолжения мониторинга пневмококковой инфекции в г. Хабаровске.
На следующем этапе исследования определена возрастная структура носителей пневмококка. При таком анализе за 100% принято общее число выделителей (источников) пневмококковой инфекции (п = 805). Основная масса носителей инфекции (84,8 ± 1,27%) представлена детьми группы 0-6 лет. Дети 7-12 лет и взрослые лица 19 лет и старше составляют одинаковую долю в числе источников инфекции (7,5 ± 0,93 и 6,8 ± 0,89%). Совсем небольшую часть в числе носителей инфекции составляют подростки 13-18 лет (0,9 ± 0,33%).
Ранее выполненное нами исследование по анализу внутрисемейной циркуляции S. pneumoniae показало, что в группе часто болеющих детей — выделителей пневмококка — инфицированы 13,4% членов их семей, в основном не получивших специфическую профилактику. Наиболее часто инфицирование регистрируется среди братьев и сестёр (42,9%). Вместе с тем матери и отцы также могут быть носителями пневмококка в очагах (10,7%), а следовательно, источниками инфицирования и распространения инфекции [19]. Для ограничения внутрисемейной циркуляции возбудителя целесообразно держать под контролем и санировать всех членов семей (других детей и взрослых), имеющих тесный контакт с инфицированными детьми.
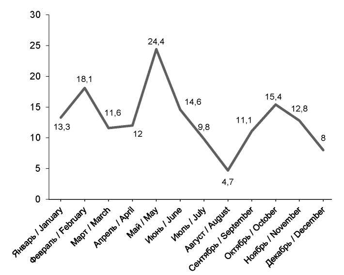
Анализ помесячной динамики назофарингеального носительства пневмококка, прослеженной при обследовании 1170 лиц в 2018 г., показал, что наиболее высокие показатели носительства регистрировали в феврале, мае и октябре, низкие — в августе (рисунок). Зимне-весенние пики носительства совпадают с повышением заболеваемости вирусными инфекциями. Как показано в исследованиях В.К. Таточенко [20], частота выделения и концентрация пневмококков в мокроте назофарингеальных носителей увеличивается во время острых респираторных вирусных инфекций, что считается одним из факторов, повышающих риск развития пневмонии или отита пневмококковой этиологии у больных. Известно также, что нейраминидаза гриппозных вирусов разрушает сиаловые кислоты тканей организма, способствуя адгезии пневмококков к клеткам эпителия бронхов [5, 10].
Рис. 1. Помесячная динамика назофарингеального носительства пневмококка (в %), прослеженная при обследовании 1170 лиц в 2018 г в Хабаровске.
Fig. 1. Monthly dynamics of nasopharyngeal pneumococcal carriage observed during the survey of 1,170 individuals in 2018 in Khabarovsk city.
Повышение уровня носительства пневмококков осенью (октябрь) может быть связано с действием факторов «перемешивания» детей (основная группа носителей) в период формирования организованных коллективов.
Таким образом, по материалам четырехлетних наблюдений (2015-2018 гг.) и бактериологического обследования 7043 детей трёх возрастных групп и взрослых с рецидивирующими респираторными заболеваниями в Хабаровске установлен значительный уровень назофарингеального носительства бактериальных патогенов (78,2%) с более высокими показателями у детей, чем у взрослых. Оптимизация методических приёмов бактериологической диагностики и эпидемиологического анализа материала позволили установить следующее ранговое положение основных возбудителей, определяющих назофарингеальное носительство патогенов среди обследованных лиц г. Хабаровска: S. pneumoniae (47%), M. catarrhalis (30,4%), H. influenzaе (17,5%), S. pyogenes (5,2%). Установлены две возрастные группы риска: дети 0-6 лет для S. pneumoniae, M. catarrhalis, H. influenzaе и дети 7-12 лет — для S. pyogenes. В течение 4 лет наблюдения отмечена тенденция к росту уровня носительства M. catarrhalis, а носительство H. influenzaе имело тенденцию к снижению. Для S. pyogenes при суммарном низком уровне носительства отмечена тенденция к росту в 3,4-5,3 раза. В то же время на фоне специфической противопневмококковой вакцинации выявлена тенденция к росту уровня носительства S. pneumoniae в 2018 г. по сравнению с 2015-2017 гг. в трёх возрастных группах детей (младшей, средней и подростковой), что сопровождалось повышением заболеваемости пневмококковой пневмонией в 7,3 раза в 2018 г. по сравнению с 2017 г. Носоглоточное носительство S. pneumoniae определяет риск развития пневмонии и других пневмококкассоциированных заболеваний у детей [4]. Растущий уровень носительства и заболеваемости обосновывают необходимость продолжения мониторинга с определением серотипового состава штаммов и характера анти- биотикорезистентности данного возбудителя.
About the authors
Vlada A. Shmуlenko
Khabarovsk Research Institute of Epidemiology and Microbiology;Pacific State Medical University
Author for correspondence.
Email: baklabhniiem@gmail.com
researcher, Laboratory of bacterial infections
postgraduate student, Department of epidemiology and military epidemiology
Russian FederationAlbina P. Bondarenko
Khabarovsk Research Institute of Epidemiology and Microbiology
Email: fake@neicon.ru
PhD (Med.), Laboratory of bacterial infections Russian Federation
Olga E. Trotsenko
Khabarovsk Research Institute of Epidemiology and Microbiology
Email: fake@neicon.ru
D.Sci. (Med.), Director Russian Federation
Vyacheslav B. Turkutyukov
Pacific State Medical University
Email: fake@neicon.ru
D.Sci. (Med.), Prof., Head, Department of epidemiology and military epidemiology Russian Federation
Elena A. Bazykina
Khabarovsk Research Institute of Epidemiology and Microbiology
Email: fake@neicon.ru
junior researcher, Laboratory for the prevention of viral hepatitis and AIDS Russian Federation
References
- Самсыгина Г.А., Выжлова Е.Н. Ещё раз о проблемах понятия «часто болеющие дети». Педиатрия. Журнал им. Г.Н. Сперанского. 2016; 95(4): 209-15.
- Рамазанова Б.А., Ералиева Л.Т., Мустафина К.К., Колоскова Е.А. Мультицентровое исследование распространённости назофарингеального носительства Streptococcus pneumoniae на отдельных территориях Республики Казахстан до и после начала противопневмококковой вакцинации. Антибиотики и химиотерапия. 2017; 5-6(62): 35-42.
- Борисова О.Ю., Гуров А.В., Гадуа Н.Т., Ефимов Б.А., Кафарская Л.И., Афанасьев С.С. и др. Микробиоценоз нёбных миндалин у практически здоровых лиц. Вестник оториноларингологии. 2018; 83(5): 31-5. DOI: http://doi.org/10.17116/otorino20188305131
- Зарипова А.З., Баязитова Л.Т., Тюпкина О.Ф., Чазова Т.А., Тюрин Ю.А., Исаева Г.Ш. и др. Фенотипические и генотипические свойства Streptococcus pneumoniae при бактерионосительстве. Практическая медицина. 2018; 16(9): 106-12.
- Тюркина С.И., Минасян В.С., Савенкова М.С., Китайгородский А.П., Овечкина Н.В., Кац Т.Г. и др. Лечение и профилактика аденоидитов бактериальными лизатами у часто болеющих детей. Детские инфекции. 2013; 12(1): 26-30.
- Чеботарёва Т.А., Мазанкова Л.Н., Хоперскова А.П., Малиновская В.В., Кольцов В.Д., Брагина Г.С. Рекуррентные инфекции органов дыхания у детей и программы иммунореабилитации. Детские инфекции. 2014; (3): 61-4.
- Наумкина Е.В., Матущенко Е.В., Калитина И.И., Абросимова О.А., Пядочкина Т.В., Матущенко А.И. Особенности микробиоты дыхательных путей при заболеваниях респираторного тракта. Бактериология. 2017; 2(3): 16-20. DOI: http://doi.org/10.20953/2500-1027-2017-3-16-20
- Шабалдин А.В., Шабалдина Е.В., Симбирцев А.С. Особенности микробиома верхних отделов респираторного тракта у детей с рецидивирующими респираторными заболеваниями. Инфекция и иммунитет. 2017; 7(4): 341-9. DOI: http://doi.org/10.15789/2220-7619-2017-4-341-349
- Peterson S.W., Knox N.C., Golding G.R., Tyler S.D., TylerA.D., Mabon P., еt al. A study of the infant nasal microbiome development over the first year of life and relation to their primary adult caregivers using cpn 60 universal target (UT) as a phylogenetic marker. PLoS One. 2016; 11(3): е0152493. DOI: http://doi.org/10.1371/journal.pone.0152493
- Teo S.M., Mok D., Pham K., Kusel M., Serralha M., Troy N., et al. The infant nasopharyngeal microbiome impacts severity of lower respiratory infection and risk of asthma development. Cell Host Microbe. 2015; 17(5): 704-15. DOI: http://doi.org/10/1016/j.chom.2015.03.008
- Dickson R.P., Martinez F.J., Huffnagle G.B. The role of the microbiome in exacerbations of chronic lung diseases. Lancet. 2014; 384(9944): 691-702. DOI: http://doi.org/10.1016/S0140-6736(14)61136-3
- Методические указания МУ 4.2.2039-05. Методы контроля. Биологические и микробиологические факторы. Техника сбора и транспортирования биоматериалов в микробиологические лаборатории. М.; 2001.
- Богданович Т.М., Стецюк О.У., Кречикова О.И., Боронина Л.Г., Катосова Л.К., Фаустова М.Е. Выделение, идентификация, и определение чувствительности к антибиотикам Haemophilus influenzaе. Клиническая микробиология и антимикробная химиотерапия. 2000; 2(2): 93-9.
- Боронина Л.Г. Лабораторные методы обнаружения, идентификации и определения резистентности к антибиотикам Haemophilus influenzaе. Екатеринбург; 2006.
- Гриценко В.А., Мавзютов А.Р., Пашкова Т.М., Карташова О.Л., Тяпаева Я.В., Белозерцева Ю.П. Генетический профиль Staphylococcus aureus, выделенных от бактерионосителей и больных с инфекционно-воспалительной патологией. Журнал микробиологии, эпидемиологии и иммунобиологии. 2018; (4): 56-62. DOI: http://doi.org/10.36233/0372-9311-2018-4-56-62
- Шмыленко В.А., Бондаренко А.П., Троценко О.Е., Туркутюков В.Б. Частота обнаружения бактерий Moraxella catarrhalis у детей с рекуррентным течением респираторных заболеваний г. Хабаровска в 2016–2017 годах. Бюллетень физиологии и патологии дыхания. 2018; (68): 52-6. DOI: http://doi.org/10.12737/ article_5b18b82fc43524.59761242
- Бондаренко А.П., Шмыленко В.А., Троценко О.Е., Зайцева Т.А., Каравянская Т.Н., Бутакова Л.В. и др. Внутригодовая динамика уровней носительства пневмококка и заболеваемости внебольничной пневмонией в г. Хабаровске в 2015 году. Бюллетень физиологии и патологии дыхания. 2016; (62): 16-21. DOI: http://doi.org/10.12737/23245
- Simell B.I., Auranen K., Käyhty H., Goldblatt D., Dagan R., O'Brien K.L. Pneumococcal Carriage Group. The fundamental link between pneumococcal carriage and disease. Expert Rev. Vaccines. 2012; 11(7): 841-55. DOI: http://doi.org/10.1586/erv.12.53
- Бондаренко А.П., Шмыленко В.А., Троценко О.Е. Эпидемиология назофарингеального носительства пневмококков в семейных очагах. Тихоокеанский медицинский журнал. 2018; (3): 54-7. DOI: http://doi.org/10.17238/PmJ1609-1175.2018.3.54-57
- Таточенко В.К. Пневмококковая инфекция вошла в число управляемых. Журнал микробиологии, эпидемиологии и иммунобиологии. 2010; (3): 102-8.
Supplementary files





