Inhibition of hemolytic activity of Streptococcus pyogenes in mechanisms of antibacterial action of zinc ions
- Authors: Cheknev S.B.1, Vostrova E.I.1, Sarycheva M.A.1, Vostrov A.V.1
-
Affiliations:
- Gamaleya National Research Center of Epidemiology and Microbiology
- Issue: Vol 96, No 5 (2019)
- Pages: 16-23
- Section: ORIGINAL RESEARCHES
- URL: https://microbiol.crie.ru/jour/article/view/469
- DOI: https://doi.org/10.36233/0372-9311-2019-5-16-23
- ID: 469
Cite item
Full Text
Abstract
Aim. The work was performed with the purpose to study a hemolytic activity in the culture of S.pyogenes under the inhibitory action of millimolar concentrations of zinc ions.
Materials and methods. Suspensions of S.pyogenes bacteria which contained 108 CFU/ml were sown by the lawns into the standard Petri dishes coated with the supplemented Blood Nutrient Agar. 30 min later the salt solutions of zinc or copper which contained the metals at the concentrations ranged between 5 x 10-3 M to 5 x 10-1 M were added by the 5 μl drops on the surfaces of the lawns with use of 36-channel stamp replicator. Then the dishes with bacterial cultures were incubated for 24 hrs at 37°C followed by measuring diameter of the area of culture growth inhibition and of the area of inhibition of hemolysis. The study was performed with use of controls towards measuring the state of bacterial cells obtained from different zones of the areas.
Results. In presence of the zinc ions concentrations ranged between 50 to 500 mM the area of the growth inhibition of S.pyogenes was surrounded on the lawn of the bacterial culture by the area of the inhibition of hemolysis where the growth inhibition of S.pyogenes was not registered. Copper ions did not form such an area of the hemolysis inhibition.
Conclusion. Inhibitory action of zinc ions on the hemolytic S.pyogenes activity in the culture seems to be specific and reversible, and is discussed in a context of the antivirulent zinc ions properties.
Keywords
Full Text
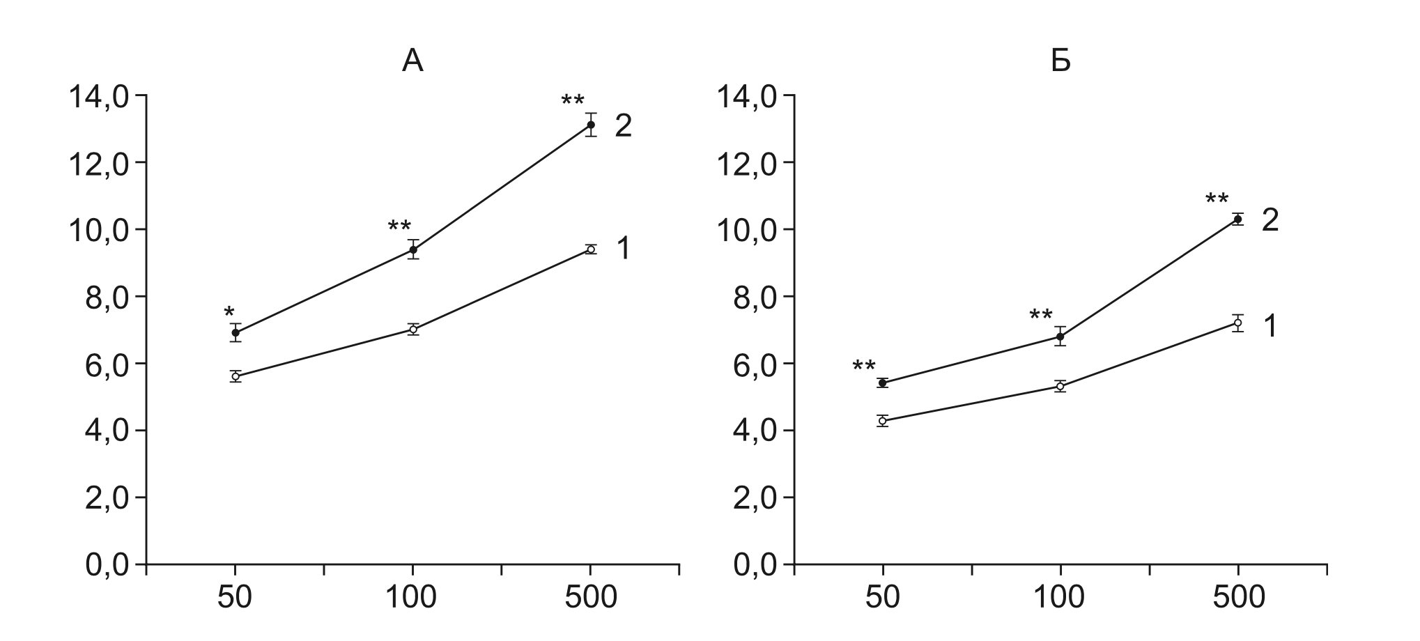
ВВЕДЕНИЕ Специфичность вовлечения катионов цинка в реализацию механизмов антибактериального действия обеспечивается совокупностью свойств катионов, проявляющихся многофакторно — с позиций получаемого результата, и многоточечно — с позиций определения мишеневой локализации и топики реакции [1, 2]. Известно, что цинк патоген-специфически снижает экспрессию шига-токсинов и других факторов вирулентности энтеропатогенных эшерихий [7, 8], специфически ингибирует гемолитическую активность спирохет [9], угнетает активность протеаз боррелий [17] и стрептококков [11], ферменты гликолиза, биосинтез капсульной гиалуроновой кислоты [14], в культурах стафилококков и синегнойной палочки реализует бактериостатическое действие, в опытах на патогенных и условно патогенных стрептококках удается описать патоген-специфическое бактерицидное действие катионов цинка [1, 2]. Специфичность действия цинка в отношении Streptococcus pneumoniae обеспечивается его избирательным импортом, реализуемым бактериями за счет работы специфических транспортеров [5]. Ингибирование гемолиза, переключение метаболизма на утилизацию галактозы и торможение роста S.pyogenes вызываются цинком, примененным в концентрациях, значительно меньших, чем при действии других катионов металлов [14]. Целью работы явилась оценка гемолитической активности в культуре S.pyogenes, претерпевающей торможение роста вследствие воздействия миллимолярных концентраций катионов цинка. МАТЕРИАЛЫ И МЕТОДЫ Культуры бактерий S.pyogenes предоставлены из рабочей коллекции лаборатории индикации и ультраструктурного анализа микроорганизмов заведующим лабораторией, кандидатом медицинских наук В.Г.Жуховицким. В работе использовали три клинических изолята S.pyogenes. Для постановки реакций стандартизованную суспензию бактерий, полученную из суточных культур S.pyogenes и содержавшую 108 КОЕ/мл, засевали газоном из объема 1.0 мл суспензии в физиологическом растворе на стандартные стерильные чашки Петри диаметром 90 мм с питательным агаром Blood Base Agar (HiMedia Lab.), дополненным 10% дефибринированной бараньей крови (ЭКОлаб) и 1% глюкозы. Спустя 30 мин на поверхность газона с использованием 36-канального штампа-репликатора с диаметром наконечников 2.0 мм каплями объемом по 5 мкл наносили водные растворы сульфата цинка ZnSO4 x 7H2O, сульфата меди CuSO4 x 5H2O, хлорида цинка ZnCl2 и хлорида меди CuCl2 x 2H2O в 0.15 М NaCl (pH 7.11-7.31) с концентрацией по катионам металлов от 5 х 10-3 М до 5 х 10-1 М. На препаративном этапе исследования маточные растворы солей стерилизовали методом мембранной фильтрации с использованием насадок для водно-солевых растворов Millex с диаметром пор 0.22 мкм (Millipore), после чего готовили серии последовательных разведений маточного образца в 0.15 М растворе NaCl, служившим внутренним контролем системы. После нанесения солевых растворов каплями на газон содержавшие культуры бактерий S.pyogenes чашки Петри инкубировали в течение суток при 37°С. По истечении срока инкубации результат реакции учитывали, определяя диаметр зоны задержки роста культуры и зоны ингибирования гемолиза с использованием угловой линейки Partigen (Behringwerke AG). На каждом газоне реакцию бактерий на серию разведений соли металла воспроизводили трижды. Для каждого клинического изолята бактерий использовали при этом не менее двух параллельных чашек Петри. Для контрольной проверки наличия (отсутствия) в зонах задержки роста культур жизнеспособных бактерий из центра зоны задержки роста микробиологической петлей диаметром 1.0 мм производили посевы материала в пробирки, содержавшие по 5.0 мл питательного бульона Nutrient Broth (HiMedia Lab.), дополненного 10% нормальной лошадиной сыворотки (Микроген) и 1% глюкозы. Образцы термостатировали в течение срока до пяти суток при 37°С, после чего оценивали прозрачность питательного бульона в сравнении с контрольным — стерильным. Для оценки глубины повреждения клеток на периферии зоны задержки роста, содержавшей единичные сохранившиеся колонии S.pyogenes, микробиологической петлей диаметром 1.0 мм производили высевы этих отдельных колоний на кровяной агар указанного выше состава с использованием техники истощающего штриха и термостатировали образцы культур в течение суток при 37°С. По истечении срока инкубации оценивали размер, морфологию образовавшихся колоний, наличие и выраженность зоны гемолиза. В ходе экспериментов кислотность 0.15 М раствора NaCl контролировали с помощью базового электронного рН-метра Sartorius PB-11, укомплектованного электродом Sartorius PY-P11. При математической обработке результатов исследования достоверность различия средних величин устанавливали с помощью t-критерия Стъюдента. РЕЗУЛЬТАТЫ И ОБСУЖДЕНИЕ Как показывают результаты, представленные на рисунке, в культуре клеток S.pyogenes катионы цинка, примененные в виде сульфата (рис.А) или хлорида (рис.Б) в миллимолярных концентрациях, реализуют выраженное антибактериальное действие, интенсивность которого при 10-кратном (с 50 до 500 мМ) повышении содержания катионов металла в среде культивирования нарастает в среднем в 1.7 раза, диаметр зоны задержки роста бактерий увеличивается на 2.9-3.8 мм (р<0.001). Одновременно за пределами внешней границы зоны задержки роста катионы цинка ингибируют гемолитическую активность S.pyogenes. 10-кратное (с 50 до 500 мМ) повышение содержания катионов металла в среде культивирования увеличивает димаметр зоны ингибирования гемолиза в среднем в 1.9 раза, или на 4.9-6.2 мм (р<0.001).
Торможение роста культуры (1) и ингибирование гемолитической активности (2) S.pyogenes в присутствии миллимолярных концентраций катионов цинка (M±m, n=18). По оси абсцисс: концентрация катионов цинка, мМ; по оси ординат: диаметр зоны регистрируемого эффекта, мм. А — водный сульфат цинка, Б — хлорид цинка. *p<0.01; **р<0.001 по сравнению с диаметром зоны задержки роста.
Представленные на рисунке данные очевидно демонстрируют, что диаметр зоны ингибирования гемолиза, образуемой в присутствии сульфата или хлорида цинка, в 1.2-1.4 раза, или на 1.1-3.7 мм (р<0.001-0.01) превышает таковой зоны задержки роста бактерий. Следовательно, в присутствии в культуральной среде катионов цинка формирующаяся зона задержки роста S.pyogenes концентрически окружена зоной ингибирования гемолиза, в пределах которой торможение роста бактерий визуально не регистрируется. При оценке глубины повреждения клеток на периферии зоны задержки роста установлено, что в условиях пересева на кровяной агар и последующего термостатирования в течение суток сохранившиеся мелкие (точечные) колонии S.pyogenes в динамике наблюдения формируют колонии стандартного вида, морфологически сходные с интактными, имеющие диаметр 0.5-1.0 мм и окруженные четко просматриваемой зоной гемолиза. Примененные в виде сульфата или хлорида в миллимолярных концентрациях катионы меди, реализующие, как и катионы цинка, выраженное антибактериальное действие в культуре клеток S.pyogenes, не формируют зону ингибирования гемолиза, выходящую за границу зоны задержки роста бактерий. Аналогично, в независимых исследованиях такая зона не образовывалась в культуре клеток S.pyogenes в присутствии сульфатов двухвалентных железа, марганца и никеля, примененных в миллимолярных концентрациях металлов. Катионы кобальта, использованные в виде сульфата, формировали зону ингибирования гемолиза, выходящую за границу зоны задержки роста бактерий. Однако, достоверный результат зарегистрирован только при максимальной из примененных концентрации металла (500 мМ), а разница диаметров образующихся зон составляла по кратности 1.2 раза, или 1.2 мм (р<0.001), что оказывалось более чем в 3 раза меньше определенного в настоящем исследовании действия соответствующей концентрации катионов цинка. Известно, что экспрессия гемолизинов во многом определяет возможность персистенции патогенных бактерий в организме хозяина, детерминирует выраженность проявления болезнетворных свойств микробов в ходе развития инфекционного процесса и различается у отдельных видов стрептококков, коррелируя с их инфекционным потенциалом [10, 15, 20]. Входящие в состав нормальной микробиоты кишечника человека бактерии Streptococcus agalactiae обладают существенно меньшей гемолитической активностью по сравнению с исследованными в данной работе патогенными S.pyogenes [10, 15, 20]. Способность катионов цинка ингибировать гемолитическую активность прямым воздействием на патогенные бактерии описана в культурах спирохет [9], синегнойной палочки [12], пиогенного стрептококка [14]. Воздействуя на клетки Serpulina hyodysenteriae, катионы цинка вызывают снижение процессов биосинтеза белка, группирование рибосом и осветление цитоплазмы, определяются в связанном клетками состоянии и полностью ингибируют гемолиз [9]. В культурах Pseudomonas aeruginosa катионы цинка, повышая гидрофильность наружной мембраны клеточной стенки бактерий, ингибируют гемолитическую активность и образование биопленок, не оказывая влияния на рост планктонных клеточных форм [12]. Ингибирование гемолиза S.pyogenes реализуется катионами цинка, примененными в концентрациях, значительно меньших, чем при действии других исследованных катионов металлов [14]. Наряду с прямым воздействием цинка на патогенные бактерии реализация антигемолитических эффектов катионов металла может достигаться за счет изменения ими физико-химических и структурно-функциональных свойств мембраны эритроцитов [3, 4, 13, 19]. Обратимо связываясь с поверхностью эритроцита и изменяя состояние липидного бислоя мембраны, катионы цинка могут динамически блокировать специфические сайты связывания лизинов, изменять конформацию эпитопов и характеристики взаимодействия лизинов с фосфолипидами поверхности клетки, вплоть до полного исключения возможности связывания литических агентов с мембраной эритроцита [3, 4, 19]. Этот механизм реализуется в условиях ингибирования катионами цинка гемолиза эритроцитов кролика, вызываемого стафилококковыми альфа и бета токсинами, а также стрептолизинами О и S [4], он задействован в блокировании цинком гемолиза эритроцитов кролика, индуцированного присутствием бактериального аэролизина [3], а также препятствует реализации гемолиза эритроцитов человека в присутствии стрептолизина О [19]. Гемолиз эритроцитов кролика, вызываемый цитолизином Vibrio metschnikovii, ингибируется катионами цинка за счет разрушения тетрамеров цитолизина или предотвращения их образования на мембране эритроцита [13]. Недавними исследованиями описан не известный ранее механизм гемолитического воздействия лейкоцидинов LukED и HIgAB Staphylococcus aureus на эритроциты человека, способствующий обретению клетками бактерий достаточных количеств железа для поддержания режима персистенции в организме хозяина [16, 18]. Указанные лейкоцидины распознают и связывают на эритроцитах человека хемокиновый рецептор DARC, служащий для заякоривания токсических агентов в клеточной мембране с последующей реализацией цитолиза [16, 18]. Понятно, что в таком случае топика реакции формирует возможность мишень-направленного блокирования DARC рецептора или его структурных аналогов, как и самого взаимодействия гемолизинов с рецепторами, экспрессированными на эритроцитах, в логистике отмены гемолитического воздействия патогенных бактерий [16, 18]. Могут ли катионы цинка в процессе ингибирования гемолиза реализовать свое протективное действие за счет блокирования DARC рецептора и его аналогов, заякоривающих в мембране эритроцита стафилолейкоцидины или гемолитические стрептолизины — вопрос, ответ на который можно давать лишь вероятностно. По всей видимости, могут, так, как уже отмечали, эффекты стафилотоксинов, стрептолизинов, аэролизина и вибриоцитолизина в отношении эритроцитов человека и кролика отменяются катионами цинка, в том числе за счет динамического блокирования специфических сайтов связывания лизинов [3, 4, 13, 19]. Сказанное означает, что в древнейшей системе утилизации бактериями железа гема, необходимого для обеспечения их персистенции в организме хозяина, а в более широком плане — обеспечения их жизнедеятельности, в целом, появляется естественный, природный фактор ограничения. Это катионы цинка, постоянно циркулирующие даже в не связанной белками и аминокислотами (ионной) форме в нормальной плазме крови, активно высвобождаемые из внутриклеточных депо в условиях любого тканевого повреждения или воспаления и препятствующие развитию массированного гемолиза в динамике инфекционного процесса, вызываемого или осложняемого бактериями, экспрессирующими в качестве одного из факторов патогенности гемолитически активные соединения. Тем самым в организме хозяина реализуется механизм ограничения гемолиза, способный предотвращать тяжелые проявления гемолитико-уремического синдрома, как это происходит в условиях ингибирования цинком экспрессии шига-токсинов у патогенных Escherichia coli [8], поддерживать менее измененными тканевой обмен и метаболические процессы, замкнутые на физиологическую гемодинамику [8]. Одновременно, этот механизм оказывается протективным и для бактерий — с позиций поддержания определенных режимов их персистенции, поскольку, как установлено в опытах на Bacillus subtilis, связывание цинка с регуляторным белком PerR приводит к дерепрессии hemA оперона биосинтеза гема и угнетению экспрессии гена katA, кодирующего синтез содержащей гем каталазы [6]. В результате клетка накапливает токсические количества гема, идет отравление клетки гемом [6]. Не случайно, в отличие от других химически близких металлов, содержание цинка в клетках разных видов бактерий поддерживается на одном и том же уровне, в достаточно узком диапазоне вариабельности [6]. В нашей работе обнаружено, что зона задержки роста S.pyogenes в присутствии миллимолярных концентраций катионов цинка концентрически окружена на газоне зоной ингибирования гемолиза, в пределах которой торможение роста бактерий визуально не регистрируется. Рассматривая диффузию катионов цинка в агаре как процесс снижения концентрации металла от центра зоны реакции на ее периферию и далее, можно заключить, что в условиях нарастания концентрации цинка в культуральной среде (с периферии зоны реакции к ее центру) системы продукции гемолизинов S.pyogenes реагируют на присутствие катионов раньше и, следовательно, оказываются более чувствительными к токсическому действию металла, чем системы собственно роста и жизнеобеспечения. Аналогично, специфическое действие цинка на энтеропатогенные эшерихии реализуется в концентрациях металла, не ингибирующих рост бактерий [7]. Полученные нами данные позволяют трактовать ингибирование цинком экспрессии гемолизинов S.pyogenes в контексте специфического воздействия катионов, поскольку понятно, что неспецифические, общетоксические эффекты, реализация которых проявлялась бы ослаблением гемолиза вследствие торможения роста бактерий или их форсированной гибели в результате отравления токсическими концентрациями катионов, не позволяли бы обнаружить зону ингибирования гемолиза, в которой задержка роста S.pyogenes визуально не регистрируется. Как и в работах по ингибированию цинком гемолиза эритроцитов, индуцированного воздействием аэролизина [3], вибриоцитолизина [13] и стрептолизина О [19], описанные в нашем исследовании эффекты катионов металла реализуются обратимо. На периферии зоны задержки роста S.pyogenes формируются мелкие (точечные) колонии персистеров, которые при высеве на кровяной агар и термостатировании в благоприятных условиях образуют колонии стандартного вида с полностью восстановленной гемолитической активностью клеток. Результаты работы обнаруживают реализацию в отношении S.pyogenes антивирулентных свойств катионов цинка, что согласуется с данными, полученными на биопленках P.aeruginosa [12]. Обретающая сегодня все большую практическую значимость концепция антивирулентности биологически активных соединений, как раз, полагает возможность нахождения и использования в контексте стратегии борьбы с патогенами механизмов, реализация которых позволяла бы избирательно выключать определенные сигнальные пути бактериальной клетки вне общего токсического воздействия на процессы жизнеобеспечения бактерий [12].
About the authors
S. B. Cheknev
Gamaleya National Research Center of Epidemiology and Microbiology
Author for correspondence.
Email: fake@neicon.ru
Moscow Russian Federation
E. I. Vostrova
Gamaleya National Research Center of Epidemiology and Microbiology
Email: fake@neicon.ru
Moscow Russian Federation
M. A. Sarycheva
Gamaleya National Research Center of Epidemiology and Microbiology
Email: fake@neicon.ru
Moscow Russian Federation
A. V. Vostrov
Gamaleya National Research Center of Epidemiology and Microbiology
Email: fake@neicon.ru
Moscow Russian Federation
References
- Чекнёв С.Б., Вострова Е.И., Сарычева М.А., Кисиль С.В., Анисимов В.В., Востров А.В. Торможение роста бактерий в культурах Streptococcus pyogenes и Streptococcus agalactiae в присутствии катионов меди и цинка. Журн. микробиол. 2017, 3:26-35.
- Чекнёв С.Б., Вострова Е.И., Кисиль С.В., Сарычева М.А., Востров А.В. Механизмы бактерицидного действия в реализации общих антибактериальных эффектов катионов металлов в культуре Streptococcus pyogenes. Журн. микробиол. 2018, 2:3-9.
- Avigad L.S., Bernheimer A.W. Inhibition by zinc of hemolysis induced by bacterial and other cytolytic agents. Infect. Immunity. 1976, 13(5):1378-1381.
- Avigad L.S., Bernheimer A.W. Inhibition of hemolysis by zinc and its reversal by L-histidine. Infect. Immunity. 1978, 19(3):1101-1103.
- Bayle L., Chimalapati S., Schoehn G. et al. Zinc uptake by Streptococcus pneumoniae depends on both AdcA and AdcAII and is essential for normal bacterial morphology and virulence . Molec. Microbiol. 2011, 82(4):904-916.
- Chandrangsu P., Rensing C., Helmann J.D. Metal homeostasis and resistance in bacteria. Nature Reviews Microbiol. 2017, 15:338-350.
- Crane J.K., Naeher T.M., Shulgina I. et al. Effect of zinc on enteropathogenic Escherichia coli infection. Infect. Immunity. 2007, 75(12):5974-5984.
- Crane J.K., Byrd I.W., Boedeker E.C. Virulence inhibition by zinc of Shiga-toxigenic Escherichia coli. Infect. Immunity. 2011, 79(4):1696-1705.
- Dupont D.P., Duhamel G.E., Carlson M.P., Mathiesen M.R. Effect of divalent cations on hemolysin synthesis by Serpulina (Treponema) hyodysenteriae: inhibition induced by zinc and copper. Vet. Microbiol. 1994, 41:63-73.
- Joseph E.A. Streptococcal toxins (streptolysin O, streptolysin S, erythrogenic toxin). Pharmac. Ther. 1980, 11:661-717.
- Krishnan K.C., Mukundan S., Figueroac J.A.L. et al. Metal-mediated modulation of streptococcal cysteine protease activity and its biological implications. Infect. Immunity. 2014, 82(7):2992-3001.
- Lee J.-H., Kim Y.-G. et al. ZnO nanoparticles inhibit Pseudomonas aeruginosa biofilm formation and virulence factor production. Microbiol. Research. 2014, 169:888-896.
- Miyake M., Honda T., Miwatani T. Effects of divalent cations and saccharides on Vibrio metschnikovii cytolysin-induced hemolysis of rabbit erythrocytes. Infect. Immunity. 1989, 57(1):158-163.
- Ong C.-I.Y., Walker M.J., McEwan A.G. Zinc disrupts central carbon metabolism and capsule biosynthesis in Streptococcus pyogenes. Scientific Reports. 2015, 5:10.
- Rajagopal L. Understanding the regulation of group B streptococcal virulence factors. Future Microbiol. 2009, 4(2):201-221.
- Ratner A.J. S.aureus toxins join the DARC side. Cell Host and Microbe. 2015, 18:272-274.
- Russell T.M., Tang X., Goldstein J.M. et al. The salt-sensitive structure and zinc inhibition of Borrelia burgdorferi protease BbHtrA. Molecular Microbiol. 2016, 99(3):586-596.
- Spaan A.N., Reyes-RoblesT., Badiou C. et al. Staphylococcus aureus targets the Duffy antigen receptor for chemokines (DARC) to lyse erythrocytes. Cell Host and Microbe. 2015, 18:363-370.
- Takeda Y., Ogiso Y., Miwatani T. Effect of zinc ion on the hemolytic activity of thermostable direct hemolysin from Vibrio parahaemolyticus, streptolysin O, and triton X-100. Infect. Immunity. 1977, 17(2):239-243.
- Whidbey C., Vornhagen J. A streptococcal lipid toxin induces membrane permeabilization and pyroptosis leading to fetal injury. EMBO Mol. Med. 2015, 7:488-505.
Supplementary files




