STUDY OF CXCL12, CCR4, EGFR GENE EXPRESSION IN MIGRATING MYELOMONOBLASTIC LEUKEMIA CELLS BEFORE AND AFTER CHEMOTHERAPY
- Authors: Filina A.B.1, Svitich O.A.2, Ammur Y.I.3, Golenkov A.K.4, Klinushkina E.F.4, Zverev V.V.1
-
Affiliations:
- Mechnikov Research Institute of Vaccines and Sera, Sechenov First Moscow State Medical University
- Mechnikov Research Institute of Vaccines and Sera, Sechenov First Moscow State Medical University, Pirogov Russian National Research Medical University
- Mechnikov Research Institute of Vaccines and Sera
- Vladimirskiy Moscow Regional Research Clinical Institutе
- Issue: Vol 96, No 1 (2019)
- Pages: 100-104
- Section: Articles
- URL: https://microbiol.crie.ru/jour/article/view/401
- DOI: https://doi.org/10.36233/0372-9311-2019-1-100-104
- ID: 401
Cite item
Full Text
Abstract
Аim. A study of CXCL12 effect on the migration of mononuclear cells isolated from healthy patients, from patients with myelomonoblastic leukemia before and after chemotherapy and the study of CCR4, EGFR and CXCL12 genes expression after exposure to CXCL12. Materials and methods. The chemotaxis of mononuclear cells (MNCs) of healthy donors and patients with myelomonoblastic leukemia was studied in a Boyden chamber, followed by isolation of RNA, reverse transcription and PCR-RV. Results. A significant increase in myelomonoblasic cell chemotaxis towards CXCL12 after chemotherapy was demonstrated, as well as a decrease in the expression of this chemokine in tumor cells before chemotherapy after exposure to CXCL12. Сonclusion. Presumably, the tumor cells themselves produce CXCL12 in large amounts, which is necessary for the disturbance of intercellular interactions and further intravasation, whose production may decrease with external stimulation by the same chemokine. CXCL12 also helps to increase the expression level of EGFR and CCR4, which leads to increased tumor proliferation and migration of tumor cells.
Keywords
Full Text
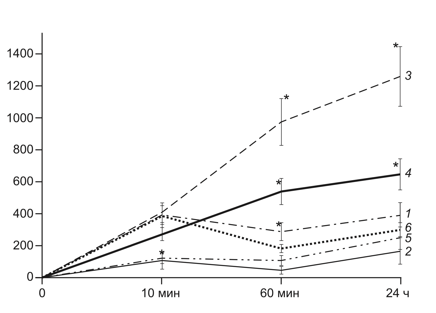
ВВЕДЕНИЕ Исследования в области онкологических заболеваний активно ведутся уже более двух столетий, однако, иммунологические аспекты опухолевой прогрессии изучают- ся совсем недавно. Важнейшими участниками онкологического процесса являются хемокины, которые участвуют не только в миграции опухолевых клеток, но также способствуют активному росту опухоли и ангиогенезу в солидные опухоли [2, 5]. По данным многочисленных исследований, показано, что такие хемокины как CXCL12, CCL2, CCL3 и CCL5 являются активными участниками ангиогенеза. CXCL12, CCL2, CCL3 и CCL5 активируют миграцию клеток-предшественников эндотелия (endothelial precursor cells — EPCs) с помощью митоген-активированных протеинкиназных путей (Janus kinase 2 (JAK2) — STAT5) и p3893, что ведет к ангио- генезу. CXCL12 также может активировать пролиферацию эндотелия сосудов через активацию рецептора CXCR4 на поверхности эндотелиальных клеток [2, 5, 6]. Другой важнейшей функцией хемокинов является способность активировать миграцию иммунных клеток в микроокружение опухоли, так называемый рекрутинг. Под действием хемокинов, в основном таких как CCL20, CXCL14,CXCL12,CCL2, CXCL8, в опухолевую ткань мигрируют антигенпрезентирующие клетки (дендрит- ные клетки, макрофаги, миелоидные супрессорные клетки, В-клетки), которые оказывают противоопухолевый эффект, подавляя активированные опухолевыми антигенами CD8+ Т-клетки [6, 7]. Показано, что хемокины участвуют в миграции опухолевых клеток. На данный момент по научным данным известно, что по меньшей мере двадцать три типа опу- холей экспрессируют CXCR4, способствуя миграции опухолевых клеток к CXCL12 по градиенту концентрации. Большинство исследований, направленных на изучение миграции опухолевых клеток к CXCL12, показывают, что повышенная экспрессия CXCR4 коррелирует с плохим прогнозом и более низким уровнем выживаемости у пациентов с онкологическими заболеваниями, в частности при остром миелоидном лейкозе (ОМЛ). Однако, последние годы появляются новые данные, которые ука- зывают на неоднозначность участия CXCL12 и его рецепторов в прогрессии опухо- ли. Luke J. Drury и его коллеги (2011) обнаружили, что хемотаксис клеток зависит от олигомерного состояния хемокина: мономерный вид и мутантный димерный белок CXCL12 снижали хемотаксис опухолевых клеток, способствуя их гибели. Lorena Hernandez и ее коллеги (2011) также показали, что в зависимости от уровня экс- пресии рецепторов CXCL12 (CXCR4 и CXCR7), данный хемокин проявляет разное действие на опухолевую клетку. С учетом данных последних исследований и неоднозначности участия CXCL12 в регуляции опухолевой прогрессии в нашей работе была поставлена цель изучить влияние CXCL12 на миграцию мононуклеарных клеток, выделенных от здоровых пациентов, пациентов с миеломонобластным лейкозом до и после химиотера- пии, а также изучить экспрессию генов CCR4, EGFR, CXCL12 после воздействия CXCL12. МАТ Е Р И А Л Ы И М Е Т О Д Ы Были отобраны здоровые доноры в возрасте 20-40 лет (n=10), у которых не бы- ло иммунодефицитных состояний, онкологических, аутоиммунных заболеваний, а также инфекционных заболеваний для формирования группы контроля. Во второй клинической группе были пациенты в возрасте 20-50 лет (n=5) с миеломоноблас- тным лейкозом без наличия сопутствующих инфекционных, иммунодефицитных и аутоиммунных заболеваний до и после химиотерапии цитозаром и даунорубици- ном (пациенты отделения клинической гематологии и иммунотерапии МОНИКИ им. М.Ф. Владимирского). Для выделения мононуклеарных клеток (МНК) использовался Diacoll-1077 (Диа-М, Россия). Для исследования хемотаксиса использовалась камера Бойдена фирмы MERCK MultiScreen Migration Invasion and Chemotaxis Filter Plate (Германия) с размерами пор 5 и 8 мкм. В качестве хемоаттрактанта использовался СXCL12 (ThermoFisher,США). В качестве контроля использовали среду RPMI-1640 (ПанЭко, РФ). Выделение РНК из клеток проводилось с помощью набора «РИБО-сорб» (ИЛС, РФ), далее проводили реакцию обратной транскрипции с помощью «Набора реагентов ОТ-1» (ИЛС, РФ) и ПЦР- РВ («Набор реагентов с SYBR Green1», Синтол, РФ) на амплификаторе ДТпрайм («ДНК-Технология», РФ). Последовательности праймеров для исследования экспрессии CCR4, EGFR, CXCL12 были получены из GeneBank (NCBI), после чего синтезированы компанией Синтол (РФ). Были выделены МНК от здоровых доноров и пациентов с миеломонобластным лейкозом до и после химиотерапии методом центрифугирования в градиенте плот- ности. На первом этапе оценивали количество мигрировавших клеток. Динамику миграции оценивали через 10, 60 мин и через сутки. В верхний отсек камеры поме- щалась взвесь клеток в объеме 60 мкл и количестве 60±1 х 103. В нижний отсек ка- меры вносили хемоаттрактант в объеме 175 мкл в концентрации 200нг/мл (СXCL12) и контроль. На втором этапе исследовалась экспрессия генов CCR4, EGFR, CXCL12 в кон- трольных образцах и активированных клетках. Уровень экспрессии оценивали от- носительно уровня β-актина. Статистический анализ проводили с использованием компьютерной статистической программой BioStat, а также программы Excel. Р Е З У Л ЬТАТ Ы И О Б С У Ж Д Е Н И Е На первом этапе мы оценивали миграцию МНК от здоровых доноров и пациен- тов с миеломонобластным лейкозом. Миграция мононуклеарных клеток здоровых доноров относительно CXCL12 была достоверно выше миграции контроля в 2 раза через 60 минут и 24 часа. Миграция МНК от пациентов с миеломонобластным лей- козом до начала химиотерапии под действием CXCL12 и в контроле не имела досто- верных отличий, однако была достоверно ниже миграции клеток здоровых доноров под действием CXCL12 через 10 минут, 60 минут и 24 часа в 9 раз. Миграция МНК от пациентов после химиотерапии относительно CXCL12 была достоверно выше контроля в 1,5 раза через час, но через 10 минут и сутки достоверных отличий не было. Миграция МНК от пациентов после химиотерапии относительно CXCL12 бы- ла достоверно выше миграции МНК от пациентов до химиотерапии через 10 минут в 4 раза и совпадала с количеством миг- рировавших МНК от здоровых доноров через 10 минут. Через 60 минут мигра- ция МНК от пациентов после химиоте- рапии к CXCL12 была достоверно выше миграции МНК от пациентов до химио- терапии в 3,5 раза, однако через 24 часа достоверных отличий не было (рис.). На втором этапе оценивалась экс- прессия CCR4, EGFR, CXCL12. Экс- прессия гена CXCL12 под воздействием CXCL12 не изменялась на протяжении всего эксперимента в МНК от здоровых доноров, а также достоверно не отлича- лась от экспрессии гена CXCL12 в интак- тных клетках (в контроле).
Миграция мононуклеарных клеток пациентов с лейкозом до и после проводимой терапии по сравнению с показателями у здоровых доноров. 1 — МНК лейкоз СХСL12, 2 — МНК лейкоз контроль, 3 — МНК здоровые СХСL12, 4 — МНК контроль здоровые, 5 — МНК лейкоз после терапии СХСL12, 6 — МНК контроль после терапии.
Экспрессия гена CXCL12 в интактных МНК от па- циентов с миеломонобластным лейкозом была достоверно выше контроля через 10 минут и через 60 минут в 16 и 4 раза соответственно, достоверных отличий через 24 часа обнаружено не было. Экспрессия гена CCR4 в интактных клетках миеломонобластного лейкоза и здоровых доноров не отличается достоверно в течение 60 минут, однако экспрессия гена ССR4 в МНК миеломонобластного лейкоза достоверно увеличивается относи- тельно экспрессии в МНК от здоровых доноров в 9 раз через сутки. Экспрессия гена ССR4 в МНК миеломонобластного лейкоза под действием CXCL12 в 39 раз досто- верно выше контроля через 10 минут, достоверных отличий через час не наблюда- лось, и достоверно ниже в 5000 раз относительно контроля через 24 часа. Экспрессия гена CCR4 в МНК миеломонобластного лейкоза под действием CXCL12 достоверно выше экспрессии гена CCR4 в МНК здоровых доноров под действием CXCL12 в 4,6 раза на 10 минуте и достоверно не отличается через 60 минут и через сутки. Достоверных отличий в экспрессии гена EGFR в интактных МНК здоровых до- норов, МНК здоровых пациентов под действием CXCL12 и МНК миеломоноблас- тного лейкоза под действием CXCL12 не обнаружено. Экспрессия EGFR в интакт- ных МНК от пациентов с миеломонобластным лейкозом достоверно отличается от контроля в 17 раз на десятой минуте, однако не отличается достоверно от контроля через 60 минут и через сутки. В качестве исследуемого материала нами был выбран миеломонобластный лей- коз, так как по многочисленным исследованиям именно исход данного онкологи- ческого заболевания зависит от пары оси хемокина и рецептора CXCL12-CXCR4 [7]. Для исследования аутоактивации хемотаксиса был выбран самый значимый для данного типа опухоли хемокин — CXCL12, экспрессию гена которого мы исследо- вали. Также в качестве опосредованно экспрессируемых генов были выбраны EGFR и CCR4, так как по немногочисленным данным известно, что возможно усиление хемотаксиса через ось CXCL12-CXCR4, путем активации CCR4, когда, в свою оче- редь, активация CXCR4 может значительно повышать экспрессию EGFR, что ведет к активной пролиферации опухоли [7, 8]. Получены данные, что у пациентов с миеломонобластным лейкозом до химио- терапии спонтанная и индуцированная миграция снижена в 7 раз относительно миг- рации МНК здоровых доноров в течение всего эксперимента. После применения хи- миотерапии миграционная способность частично восстанавливается. Также показан высокий уровень экспрессии гена СXCL12 в интактных клетках миеломонобластного лейкоза, в то время как под действием хемокина экспрессия достоверно снижалась. Предположительно опухолевые клетки самостоятельно продуцируют CXCL12 в боль- шом количестве, что необходимо для нарушения межклеточных взаимодействий и дальнейшей интравазии. Стимуляция хемокином CXCL12 достоверно повышала хе- мотаксис опухолевых клеток после химиотерапии только через час, миграции МНК от пациентов до терапии достоверно не отличалась от контроля, что, скорее всего, обус- ловлено неотвечаемостью рецепторов вследствие повышенной сенситизации рецепто- ра вследствие аутоактивации выделяемым хемокином и также внешней стимуляции. Уровень экспрессии CCR4 в опухолевых клетках под действием CXCL12 момен- тально повышается через 10 минут, что может способствовать активации миграции опухолевых клеток, однако до конца не ясен механизм спонтанной экспрессии CCR4, как и EGFR, в опухолевых клетках через 24 часа. Таким образом, основываясь на ис- следованиях других ученых и полученных нами данных, можно говорить о том, что хемотаксис опухолевых клеток может происходить без внешней стимуляции путем аутоактивации, которая при определенных условиях может приводить как к гибели клетки, так и к ее распространению в зависимости от стадии опухолевого процесса. В дальнейшем планируется исследование экспрессии вышеописанных рецеп- торов в МНК миеломонобластного лейкоза после химиотерапии, а также CXCR4, CXCR7 и TLRs в МНК от здоровых доноров и от пациентов с миеломонобластным лейкозом до и после химиотерапии по направлению к CXCL12 и TLRs лигандам, что поможет более детально изучить взаимосвязь факторов врожденного иммунитета в онкологических процессах [1, 3, 4].
About the authors
A. B. Filina
Mechnikov Research Institute of Vaccines and Sera,Sechenov First Moscow State Medical University
Author for correspondence.
Email: fake@neicon.ru
Moscow Russian Federation
O. A. Svitich
Mechnikov Research Institute of Vaccines and Sera,Sechenov First Moscow State Medical University,
Pirogov Russian National Research Medical University
Email: fake@neicon.ru
Moscow Russian Federation
Yu. I. Ammur
Mechnikov Research Institute of Vaccines and Sera
Email: fake@neicon.ru
Moscow Russian Federation
A. K. Golenkov
Vladimirskiy Moscow Regional Research Clinical Institutе
Email: fake@neicon.ru
Moscow Russian Federation
E. F. Klinushkina
Vladimirskiy Moscow Regional Research Clinical Institutе
Email: fake@neicon.ru
Moscow Russian Federation
V. V. Zverev
Mechnikov Research Institute of Vaccines and Sera,Sechenov First Moscow State Medical University
Email: fake@neicon.ru
Moscow Russian Federation
References
- Лабжинов П.А., Свитич О.А., Ганковская Л.В., Зверев В.В. Оценка экспрессии генов компонентов врожденного иммунитета в лейкоцитах мышей при действии синтетических лигандов in vivo. Журн. микробиол. 2013, 6:76-80.
- Свитич О.А., Филина А.Б., Давыдова Н.В., Ганковская Л.В., Зверев В.В. Роль факторов врожденного иммунитета в процессе опухолеобразования. Медицинская иммунология. 2018, 20(2):151-162.
- Филина А.Б., Свитич О.А., Аммур Ю.И., Голенков А.К., Клинушкина Е.Ф., Зверев В.В. Изучение миграционной способности мононуклеарных и опухолевых клеток относительно TLRs лигандов и CXCL12. Российский иммунологический журнал. 2017, 11(20): 3:545-547.
- Филина А.Б., Свитич О.А., Ганковская Л.В., Лабжинов П.А., Парфенова Т.М., Зверев В.В. Изучение лиганд-опосредованного хемотаксиса клеток макрофагальной линии U937. Медицинская иммунология. 2014, 16(5):443-448.
- Balkwill F., Mantovani A. Inflammation and cancer: back to Virchow? Lancet. 2001, 357:539—545
- Goede V., Brogelli L., Ziche M., Augustin H.G. Induction of inflammatory angiogenesis by monocyte chemoattractant protein-1. Int. J. Cancer. 1999, 82:765-770.
- Lazennec G., Richmond A. Chemokines and chemokine receptors: new insights into cancer-related inflammation. Trends Mol. Med. 2010, 16:133-144.
- Zhang Y., Tian L., Zheng Y.Y. et al. C-terminal peptides of chemokine-like factor 1 signal through chemokine receptor CCR4 to cross-desensitize the CXCR4. Biochemical and Biophysical Research Communications. 2011, 409:356-361.
Supplementary files




