Possibility of using exometabolites Bifidobacterium bifidum № 791 in traumatology and orthopedics
- Authors: Markov A.A.1,2, Timokhina T.H.1, Perunova N.B.3, Paromova Y.I.1, Ivanova E.V.3,4
-
Affiliations:
- Tyumen State Medical University
- Limited Liability Company Scientific-Production Innovative Association «Multifunctional Medical Laboratory»
- Orenburg Scientific Center of the Ural Branch of the Russian Academy of Sciences, Institute for Cellular and Intracellular Symbiosis
- Orenburg State Medical University
- Issue: Vol 96, No 2 (2019)
- Pages: 55-61
- Section: ORIGINAL RESEARCHES
- URL: https://microbiol.crie.ru/jour/article/view/391
- DOI: https://doi.org/10.36233/0372-9311-2019-2-55-61
- ID: 391
Cite item
Full Text
Abstract
Aim. To study the effect of exometabolites of Bifidobacterium bifidum on the biological properties of causative agents of purulent-septic complications in trauma and orthopedic practice and to evaluate their effect on reparative bone tissue regeneration in the peri-implant zone in the postoperative period. Materials and methods. Using the museum cultures of B. bifidum 791, S. aureus 25923 ATCC, P. aeruginosa 27853 ATCC and antibiotic-resistant hospital strains, isolated from patients with periprosthetic infection and osteomyelitis (S.aureus 889, S. epidermidis 2041, P. aeruginosa 9672). The supernatant (exometabolites) of B. bifidum 791 was obtained from a broth culture, which was centrifuged and passed through a membrane filter. In studying the effect of exometabolites of bifidobacteria on the proliferative activity of bacteria, the two-day supernatant of B. bifidum was co-incubated for 24 cultures of museum and hospital strains. The biofilm formation in vitro experiment was studied after 24 and 96 hours. Treatment of implants with exometabolites of bifidobacteria was carried out for 30 minutes. Experimental research was carried out on rabbits of breed «Flandr». Titanium implants without coating (control) and with porous SBKFM coating treated with exometabolites of B. bifidum (experiment) were screwed into the tibial bones of animals. Histological examination and computed microtomography were performed using a SkyScan 1172 instrument (BRUKER). Result. Depending on the time of cultivation of bifidobacteria, the supernatant B. bifidum 791 had a bacteriostatic and bactericidal effect to varying degrees, and also inhibited the biofilm formation of the studied microorganism cultures, including antibiotic-resistant strains. In in vivo experiments, the use of porous SBKFM coatings on titanium implants treated with the supernatant of bifidobacteria made it possible to maintain the mineral density indices of the peri-implantation zone at a high level in comparison with the use of control titanium implants without coating. Conclusion. Positive results of preclinical experiments are promising for further clinical research in trauma and orthopedic practice, which ultimately will reduce the risk of developing septic complications and prevent the migration of metal structures and instability of endoprostheses in the postoperative period.
Full Text
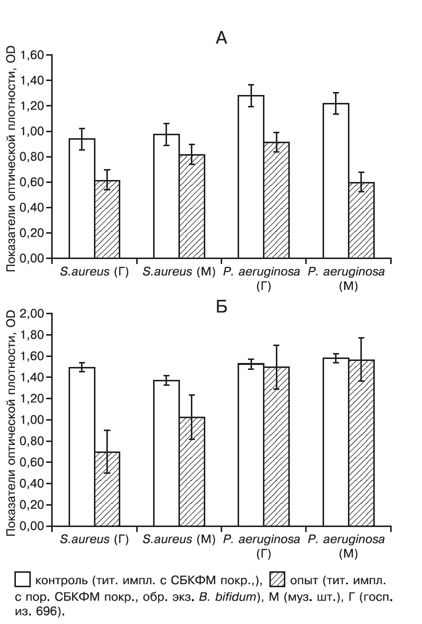
ВВЕДЕНИЕ Несмотря на все достижения асептики и антисептики, риск развития гнойносептических осложнений в раннем и позднем послеоперационном периодах по данным отечественных и зарубежных авторов достигает 37,8% от всех оперативных вмешательств [1, 7, 8, 16]. Сложность проведения антибактериальной терапии усугубляется формированием биопленок на поверхности установленных эндопротезов и имплантатов. Бактерии в составе биопленок усиливают свою патогенность, проявляют более высокую устойчивость к антибиотикам и другим лекарственным препаратам, что, в свою очередь, приводит к хронизации инфекционного процесса [6, 11, 14]. Учитывая стадийность развития биопленки, важно предотвратить первичную контаминацию имплантируемых материалов микроорганизмами. В условиях современного мира, в котором все чаще встречается резистентность бактерий ко многим антибиотикам, а в определенных случаях отмечается и полиантибиотикорезистентность, изучение антимикробных свойств метаболитов пробиотических микроорганизмов (в частности бифидо- и лактобацилл) приобретает все более важное значение. Поиск препаратов, биологически безопасных для организма человека, обладающих высокими антимикробными свойствами, перспективно и следует рассматривать с позиции ассоциативного симбиоза — многокомпонентной интегративной системы (макропартнер, нормофлора, условно патогенные и патогенные микроорганизмы). Перспективность применения симбиотического подхода в медицине обоснована результатами научных исследований, которые доказали, что экзометаболиты представителей симбиотической нормофлоры (бифидобактерий) обладают высокой антимикробной активностью, противовоспалительными свойствами, а также предупреждают гипоксию тканей и микроциркуляторные нарушения за счет содержания в них карбоновых кислот, микробного лизоцима, перекиси водорода, бактериоцинов, протеолитических ферментов, витаминов [2, 3, 5, 9, 10]. В связи с вышесказанным интерес представляет изучение и практическое применение антимикробных свойств супернатанта (экзометаболиты) бифидофлоры в травматолого-ортопедической практике для предотвращения первичной контаминации имплантатов микроорганизмами и влияния на репаративную регенерацию костной ткани периимплантационной зоны в послеоперационном периоде. Цель работы — изучение влияния экзометаболитов Bifidobacterium bifidum на биологические свойства возбудителей гнойно-септических осложнений в травматолого-ортопедической практике и оценка их воздействие на репаративную регенерацию костной ткани периимплантационной зоны в послеоперационном периоде. МАТЕРИАЛЫ И МЕТОДЫ В качестве штамма-продуцента была использована производственная культура Bifidobacterium bifidum 791 (№ депонента АС-1247 Всероссийской коллекции промышленных микроорганизмов ФГУП ГосНИИ «Генетика»), использующаяся при производстве пробиотика «Бифидумбактерин». Супернатант (экзометаболиты) B. bifidum 791 получали из бульонной культуры бифидобактерий. Исследуемую культуру инокулировали в питательный бульон Schaedler, культивировали в течении 24 (суточная бульонная культура), 48 (двухсуточная), 72 (трехсуточная) и 96 (четырехсуточная) часов в условиях анаэробного термостата (Binder, Германия) при 370 С, центрифугировали при 3000 об/мин в течение 20 минут и пропускали через мембранный фильтр с диаметром пор 0,2 мкм («Millipore», Франция). При исследовании пролиферативной и антимикробной активности в эксперименте in vitro использовали двухсуточный (48 часов культивирования бифидобактерий в питательном бульоне) супернатант B. bifidum, музейные тест-штаммы: Staphylococcus aureus 25923 АТСС, Pseudomonas aeruginosa 27853 АТСС и антибиотикорезистентные госпитальные изоляты, выделенные от пациентов с перипротезной инфекцией и остеомиелитом: Staphylococcus aureus 889 (MRSA), Staphylococcus epidermidis 2041, Pseudomonas aeruginosa 9672. Выделение, идентификацию и определение чувствительности возбудителей к антибиотикам проводили на базе бактериологической лаборатории ГБУЗ ТО ОКБ № 2 г. Тюмени в соответствии с приказом МЗ СССР № 535 Об унификации микробиологических (бактериологических) методов исследования, применяемых в клинико-диагностических лабораториях лечебно-профилактических учреждений. Эксперимент in vitro по изучению бактерицидного влияния в отношении тестштаммов бактерий проводили методом десятикратных разведений супернатанта B. bifidum, полученного из двухсуточной бульонной культуры бифидобактерий. Исследуемый супернатант соинкубировали с чистой культурой музейных и госпитальных штаммов бактерий в соотношении 9:1 при 370 С в течение 24 часов, затем из каждого разведения производили высев по 0,1 мл на плотные питательные среды: желточно-солевой агар для Staphylococcus aureus и epidermidis, агар МюллераХинтона — Pseudomonas aeruginosa. Пролиферативную активность тест-штаммов бактерий оценивали через 24 часа.Нанесение пористого синтетического биоактивного кальций-фосфатного минерального (СБКФМ) покрытия на титановые имплантаты для экспериментов осуществлялась по авторской методике [12]. В основе изучения формирование биопленки использовали метод G. O`Toole [15], модифицированный в авторском исполнении. В опытах в качестве «подложки» использовали образцы титановых имплантатов с пористым СБКФМ покрытием, обработанные экзометаболитами бифидобактерий, т.е., выдержанные 30 минут в двухсуточных экзометаболитах. Контрольные образцы титановых имплантатов с пористым ПСБКФМ покрытием не обрабатывали экзометаболитами. Контрольные опытные образцы погружали в питательный бульон с музейными и госпитальными тест-штаммами (1,5 х 103 КОЕ/мл) с экспозицией в 24 и 96 часов. После экспозиции образцы кратковременно погружали в физиологический раствор для избавления от планктонных клеток и опускали на 45 минут в 0,1% раствор генцианвиолета, затем промывали в физиологическом растворе и помещали в этиловый спирт (2 мл) на 15 минут. Оптическую плотность (OD) окрашенного спирта замеряли на фотоэлектроколориметре (КФК-3). Экспериментальное исследование in vivo проводили на 27 кроликах породы «Фландр» в возрасте 7-8 месяцев, с массой тела 5,8 — 6, 6 кг. В большеберцовые кости животных после предварительного засверливания вкручивались титановые имплантаты без покрытия (контроль), с пористым СБКФМ покрытием и с пористым СБКФМ покрытием, обработанным экзометаболитами B. bifidum (опыт). Оперативное вмешательство выполнялось в асептических условиях, под внутривенным наркозом. Животных выводили из эксперимента в следующие сроки: 5, 7, 9, 11, 13, 15, 20, 30 и 50 сутки. Костная ткань периимплантационной зоны во все вышеуказанные сроки исследовалась методом гистологического исследования и компьютерной микротомографии с использованием прибора высокого разрешения SkyScan 1172 (BRUKER). Данный метод позволяет проводить реконструкцию трехмерных моделей рентгеновских изображений и анализировать качество костной ткани периимплантационной зоны с высоким разрешением. Динамику оценивали по изменению показателя минеральной плотности костной ткани — BMD (г/см3 ). Статистическую обработку полученных данных проводили средствами пакета Statistica 10 (StatSoft, USA). РЕЗУЛЬТАТЫ И ОБСУЖДЕНИЕ В экспериментах in vitro установлено, что суточный супернатант B. bifidum 791 проявлял бактериостатическое действие в отношении исследуемых штаммов микроорганизмов, а трех- и четырехсуточный — бактерицидное. Двухсуточные экзометаболиты B. bifidum отличались максимальной бактерицидной активностью, что дало основание использовать их в экспериментах in vivo и in vitro. Результаты исследования по изучению бактерицидных свойств супернатанта B. bifidum в отношении антибиотикорезистентных госпитальных изолятов S. aureus 889 (MRSA), S. epidermidis 2041 и P. aeruginosa 9672 показали отсутствие роста бактерий в максимальных концентрациях (1,5*107 КОЕ/мл), что свидетельствовало о высокой антимикробной активности супернатанта бифидобактерий в отношении не только тест-штаммов бактерий, но и антибиотикорезистентных госпитальных изолятов. При изучении влияния супернатанта B. bifidum 791 на биопленкообразование бактерий установлено, что наиболее выраженное снижение показателей оптической плотности было выявлено через 24 часа экспозиции. Среди всех исследуемых культур микроорганизмов более чувствительным к экзометаболитам бифидобактерий оказался музейный тест-штамм P. aeruginosa, у которого отмечено снижение показателя биопленкообразования на 50±3% от значений контроля (рис. 1 А). Через 96 часов эксперимента максимальное ингибирование биопленкообразования бы-ло выявлено в отношении госпитального тест-штамма S. aureus, у которого различия значений оптической плотности в опыте и контроле составило 53±3% (рис. 1 Б). Результаты гистологического исследования и компьютерной рентгеновской микротомографии в экспериментах на кроликах показали более выраженную резорбцию костной ткани периимплантационной зоны при использовании титановых имплантатов без покрытия. В таблице представлены данные по изменению минеральной плотности, являющейся одним из показателей качества костной ткани. Определено снижение данного показателя при анализе периимплантационной зоны титанового имплантата без покрытия, как с 3 по 9 сутки, так и с 11 по 50 сутки исследований, что свидетельствовало о снижении прочности кости. Напротив, применение пористого СБКФМ покрытия на титановых имплантатах, обработанного экзометаболитами бифидобактерий, позволяло сохранить качество костной ткани, определяемое сохранением показателя минеральной плотности периимплантационной зоны на высоком уровне в сравнении с использованием контрольных титановых имплантатов без покрытия.
Влияние экзометаболитов на формирование биопленки музейными тест-штаммами и госпитальными изолятами через 24 (А) и 96 (Б) часов.
Результаты проведенных in vivo и in vitro экспериментов подтверждают роль микробного фактора в предотвращении инфекционного процесса при хирургической патологии, о чем также свидетельствуют экспериментальные исследования на модели штамма B. subtilis № 534, транслоцирующегося из кишечника к очагу воспаления [13]. В нашей работе мы использовали супернатант бифидобактерий, являющихся представителями нормальной микробиоты человека и способных снижать персистентный потенциал патогенов и регулировать иммунный гомеостаз хозяина [3]. Проведенные исследования позволили установить высокую антибактериальную активность и способность супернатанта штаммов B. bifidum 791 подавлять формирование биопленок у антибиотикорезистентных госпитальных изолятов, выделенных от пациентов с перипротезной инфекцией и остеомиелитом. Использование экзометаболитов B. bifidum с синтетическим биоактивным кальций-фосфатным минеральным покрытием на титановых имплантатах в экспериментах in vivo показало, что минеральная плотность костной ткани периимплантационной зоны претерпевает меньшие изменения и остается на высоком уровне, в сравнение с изменениями при использовании титановых имплантатов без покрытия. Это позволяет утверждать, что в случае применения экзометаболитов B. bifidum с синтетическим биоактивным кальций-фосфатным минеральным покрытием на титановых имплантатах будет формироваться прочный костно-металлический блок в послеоперационном периоде. Выявленная нами в работе антимикробная и антибиопленочная активность бифидобактерий в отношении антибиотикорезистентных штаммов микроорганизмов открывает перспективу создания на их основе антимикробных средств, имеющих преимущество в сравнении с широко используемыми в травматолого-ортопедической практике антибиотиками и антисептическими препаратами. Положительные результаты доклинических экспериментов перспективны для проведения дальнейших клинических исследований в травматолого-ортопедической практике, что в конечном итоге позволит снизить риск развития гнойно-септических осложнений и предотвратить миграцию металлоконструкций и нестабильность эндопротезов в послеоперационном периоде.
About the authors
A. A. Markov
Tyumen State Medical University; Limited Liability Company Scientific-Production Innovative Association «Multifunctional Medical Laboratory»
Author for correspondence.
Email: fake@neicon.ru
Tyumen. Russian Federation
T. H. Timokhina
Tyumen State Medical University
Email: fake@neicon.ru
Tyumen. Russian Federation
N. B. Perunova
Orenburg Scientific Center of the Ural Branch of the Russian Academy of Sciences, Institute for Cellular and Intracellular Symbiosis
Email: fake@neicon.ru
Orenburg. Russian Federation
Ya. I. Paromova
Tyumen State Medical University
Email: fake@neicon.ru
Tyumen. Russian Federation
E. V. Ivanova
Orenburg Scientific Center of the Ural Branch of the Russian Academy of Sciences, Institute for Cellular and Intracellular Symbiosis; Orenburg State Medical University
Email: fake@neicon.ru
Orenburg. Russian Federation
References
- Божкова С.А., Тихилов Р.М., Разоренов В.Л. и др. Микробиологические аспекты антибактериальной терапии парапротезной инфекции, вызванной грамположительными возбудителями. Инфекции в хирургии. 2011, 9 (3):31-36.
- Бондаренко В.М., Рыбальченко О.В. Анализ профилактического и лечебного действия пробиотических препаратов с позиций новых научных технологий. Журнал микробиологии. 2015, 2:90-104.
- Бухарин О.В., Перунова Н.Б., Иванова Е.В. Бифидофлора при ассоциативном симбиозе человека: монография. О. В. Бухарин, Н. Б. Перунова, Е.В. Иванова. Екатеринбург, УрО РАН, 2014.
- Бухарин О.В., Лобакова Е.С., Немцева Н.В., Черкасов С.В. Ассоциативный симбиоз. Екатеринбург, УрО РАН, 2007.
- Вахитов Т.Я. Регуляторные функции бактериальных экзометаболитов на внутрипопуляционном и межвидовых уровнях. Дисс. д-ра биол. наук. СПб, 2007.
- Льюис К. Персистирующие клетки и загадка выживания биопленок. Биохимия. 2005, 70(2):327-336.
- Лещишин Я. М. Инфекции области хирургического вмешательства (ИОХВ) в экстренном хирургическом стационаре: распространенность и структура. Многопрофильная больница: проблемы и решения. Ленинск-Кузнецкий, 2011.
- Малков И.С., Шакиров М.И., Пизамутдинов Е.З. и др. Интраоперационная профилактика раневых гнойно-воспалительных осложнений. Казанский медицинский журнал. 2006, 2:108-110.
- Молохова Е.И., Сорокина Ю.В. Разработки отечественных метаболических пробиотиков и их стандартизация. Сибирский медицинский журнал (г. Томск). 2011, 26(1):29-33.
- Постникова Е.А., Ефимов Б.А., Володин Н.Н., Кафарская Л.И. Поиск перспективных штаммов бифидобактерий и лактобацилл для разработки новых биопрепаратов. Журн. микробиол. 2004, 2:64-69.
- Смирнова Т.А., Диденко Л.В., Андреев А.Л., Алексеева Н.В. и др. Электронно-микроскопическое изучение биоплёнок, образуемых бактериями Burkholderia cepacia. Микробиология. 2008, 77(1):63-70.
- Марков А.А., Соколюк А.А. Способ нанесения синтетического биоактивного кальций-фосфатного минерального комплекса на имплантаты медицинского назначения. Патент РФ № 2606366 от 10.01.2017. Бюл. № 1.
- Тарасенко В.С., Никитенко В.И., Стадников А.А. Экспериментально-клиническое обоснование применения споробактерина в комплексном лечении панкреонекроза. Вестн. хирургии им. И.И. Грекова. 2002, 161(1):110-114.
- Тец Г.В. Роль внеклеточной ДНК и липидов матрикса во взаимодействии бактерий биоплёнок с антибиотиками. Дисс. канд. мед. наук. Санкт-Петербург, 2007.
- Toole G.A., Kaplan H.B., Kolter R. Biofilm formation as microbial development. Annu. Rev. Microbiol. 2000, 54:49-79.
- Wald D.S. Wound healing under pathological conditions. Inf. Medicina propraxi. 2002, 10:6-10.
Supplementary files




