Evaluation of mutagenicity, genotoxicity and chronic toxicity of antiviral drug imidazolyl ethanamide pentandioic acid in in vitro and in vivo test systems
- Authors: Jain E.A.1, Pleimes D.2, Globenko A.A.1
-
Affiliations:
- JSC Valenta Pharm Pharmaceutical Company
- Myelo Therapeutics GmbH
- Issue: Vol 98, No 5 (2021)
- Pages: 548-557
- Section: ORIGINAL RESEARCHES
- URL: https://microbiol.crie.ru/jour/article/view/1112
- DOI: https://doi.org/10.36233/0372-9311-180
- ID: 1112
Cite item
Full Text
Abstract
Introduction. The antiviral properties of imidazolyl ethanamide pentandioic acid (IPA), the active compound of the drug product, has been proven in various experimental models. However, the literature data on the toxicological properties of IPA are limited.
Purpose. To evaluate mutagenic and genotoxic properties in in vitro and in vivo models, as well as to study the toxicity of IPA following chronic oral administration to rats and dogs.
Materials and methods. Mutagenic and genotoxic properties of IPA were assessed using the Ames test, the test of chromosomal aberrations in human lymphocytes, and the micronucleus test in rats. The chronic toxicity of IPA was studied in Sprague Dawley rats and beagle dogs of both sexes, to which IPA was administered orally at doses of 30-300 mg/kg/day for 26 and 39 weeks, respectively.
Results and discussion. In the Ames test, the addition of IPA up to the maximum dose (5000 mcg/plate) did not result in the increase in the number of revertant colonies. At a concentration of up to 5000 mcg/ml, IPA did not cause chromosomal aberrations in human leukocytes. At doses doses ≤ 2000 mg/kg, IPA did not increase the amount of micronuclei in the bone marrow of rats. In chronic experiments, animals tolerated the administration of IPA well: the dose without an observed effect (NOEL) for rats and dogs was 300 mg/kg/day.
Conclusion. IPA did not show mutagenic and genotoxic properties in standard in vitro and in vivo tests. With chronic oral administration to rats and dogs, NOEL IPA equal to 300 mg/kg/day provided a systemic exposure that was 8-10 and 41-65 times higher than that in humans, respectively. The results obtained allow us to consider the safety profile of the prolonged use in humans as favorable.
Full Text
Введение
Имидазолилэтанамид пентандиовой кислоты (ИПК) является противовирусным лекарственным средством с широким спектром действия, предназначенным для лечения и профилактики гриппа A и B и других острых респираторных вирусных инфекций, включая риновирус, аденовирус, коронавирус, парагрипп, респираторно-синцитиальный вирус, метапневмовирус, энтеровирус. Механизм действия ИПК реализуется на уровне инфицированных клеток за счёт активации факторов врождённого иммунитета, подавляемых вирусными белками [1][2].
В ряде исследований, выполненных в 2009– 2012 гг., эффективность использования ИПК подтверждена in vitro и in vivo в отношении вирусов гриппа A(H1N1/09)v, A(H5N1), A(H3N2), в том числе пандемических штаммов A/California/04/2009 (H1N1)v, A/California/07/2009 (H1N1)v, A/Moscow/ 225/2009 (H1N1)v, A/Moscow/226/2009 (H1N1)v, A/Chicken/Kurgan/05/2005 (H5N1) и A/Aichi/2/68 (H3N2), а также аденовируса и метапневмовируса [1][3–12]. Кроме того, по данным ряда исследований, проведённых в 2005–2019 гг., ИПК обладает противовоспалительным и иммуномодулирующим действием [13][14], оказывает гемопротекторный эффект [15–21]. В то же время данные об отдельных токсикологических параметрах ИПК представлены недостаточно широко, что обусловливает необходимость их освещения по результатам доклинических исследований эффектов ИПК в широком диапазоне доз, проведённых в 2014–2019 гг.
Целью настоящей работы стала оценка мутагенных и генотоксических свойств ИПК с использованием моделей in vitro и in vivo, а также изучение токсичности ИПК при хроническом пероральном введении, позволяющем оценить потенциальные дозозависимые риски применения препарата у человека в течение 3 мес и более.
Материалы и методы
Все эксперименты in vitro и in vivo были выполнены в соответствии с принципами надлежащей лабораторной практики и руководствами Организации экономического сотрудничества и развития. Работы выполнены в «LPT Laboratory of Pharmacology and Toxicology GmbH & Co.» (Гамбург, Германия) при научном консультировании «Myelo Therapeutics GmbH» (Берлин, Германия) с учётом актуальных законодательных требований, касающихся биоэтических норм проведения доклинических исследований, в частности Европейской конвенции о защите позвоночных животных, используемых для экспериментов или в иных научных целях (Страсбург, 1986).
Во всех экспериментах использовали активную фармацевтическую субстанцию (АФС) ИПК.
Наличие мутагенных свойств у ИПК в диапазоне доз 100–5000 мкг на чашку изучали в тесте бактериальных мутаций с использованием ауксотрофных по гистидину штаммов Salmonella typhimurium TA98, TA100, TA102, TA1535 и TA1537 (тест Эймса; OECD Test No. 471: Bacterial Reverse Mutation Test) с метаболической активацией (фракция S9 печени крыс) или без неё. Диапазон доз ИПК подбирали, базируясь на результатах предварительных тестов цитотоксичности, проведённых на штамме S. typhimurium TA100: количество колоний в чашках, в которые добавляли физиологический раствор, не отличалось от такового в чашках, в которые добавляли ИПК в дозах 1–5000 мкг на чашку включительно.
Способность ИПК вызывать хромосомные аберрации in vitro оценивали в культуре периферических лейкоцитов человека (OECD Test No. 473: In Vitro Mammalian Chromosomal Aberration Test) после инкубации с ИПК в диапазоне концентраций 625–5000 мкг/мл с метаболической активацией (фракция S9 печени крыс) или без неё. В тестах in vitro все инкубации проводили в трипликатах. Диапазон концентраций для данного теста также подбирали, исходя из результатов предварительных экспериментов, в ходе которых лейкоциты культивировали в средах, содержащих ИПК в концентрациях 10–5000 мкг/мл включительно, в течение 4 ч в условиях метаболической активации или в течение 24 ч без неё. Во всех случаях присутствие ИПК в среде не оказывало негативного влияния на митотическую активность лейкоцитов и не оказывало цитотоксического действия.
Генетическую токсичность in vivo (OECD Test No. 474: Mammalian Erythrocyte Micronucleus Test) определяли в эксперименте на 70 крысах линии Спрег-Доули (Crl:CD(SD); питомник «Charles River Laboratories», Германия). ИПК вводили однократно внутрижелудочно в дозе 200, 600 или 2000 мг/кг; животные из группы отрицательного контроля получали носитель (0,5% водный раствор гидроксипропилметилцеллюлозы). В качестве положительного контроля использовали крыс, которым однократно вводили циклофосфамид в дозе 27 мг/кг. Животных подвергали эвтаназии в CO2-камере через 24 или 48 ч после введения исследуемых соединений для оценки частоты выявления микроядер в полихромных эритроцитах (ПХЭ) костного мозга.
Хроническую токсичность ИПК в 3 дозах изучали на крысах линии Спрег-Доули (Crl:CD(SD); питомник «Charles River Laboratories», Германия) и собаках породы бигль обоих полов (питомник «Marshall BioResources», США). Согласно действующей инструкции по медицинскому применению лекарственного препарата, суточная доза ИПК для взрослого человека составляет 90 мг/кг, что соответствует дозе 9,3 мг/кг/сут для крыс и 2,7 мг/кг/сут для собак (при использовании коэффициентов пересчёта, равных 6,2 и 1,8 соответственно, и допущения, что масса тела человека составляет 60 кг) [22]. В качестве минимальной и максимальной доз ИПК для токсикологических исследований выбрали дозы 30 и 300 мг/кг/сут, которые у крыс должны были превышать максимально рекомендуемую дозу для человека в 3 и 30 раз, а у собак — в 15 и 150 раз соответственно. Средняя доза, рассчитанная как среднее геометрическое максимальной и минимальной доз, составила 100 мг/кг/сут для животных обоих видов.
Крысам (масса тела самцов 262,9–313,2 г, масса тела самок 192,3–250,8 г) АФС ИПК (в 0,5% водном растворе гидроксипропилметилцеллюлозы) вводили ежедневно внутрижелудочно в течение 182 дней; животные из контрольной группы получали носитель. По 20 самок и 20 самцов крыс из каждой группы подвергали эвтаназии в CO2-камере на следующий день после окончания введения; ещё по 5 особей каждого пола из групп носителя, средней и высокой дозы ИПК умерщвляли через 4 нед наблюдения. Дополнительно по 9 особей каждого пола в группах ИПК и по 3 особи каждого пола в группе носителя использовали для определения токсикокинетических показателей, необходимых для оценки взаимосвязи между системной экспозицией лекарственного средства и возможными признаками интоксикации.
Собакам (по 4 самца и 4 самки на группу; масса 5,5–9,3 кг) вводили желатиновые капсулы, заполненные АФС ИПК, 1 раз в сутки в течение 39 нед; животным из контрольной группы вводили плацебо (пустые капсулы). По 3 животных каждого пола из каждой группы использовали для определения токсикокинетических параметров ИПК. Дополнительно по 2 животных каждого пола из группы плацебо и группы максимальной дозы использовали на этапе последующего наблюдения, длившемся 4 нед после отмены исследуемого лекарственного средства.
В ходе исследований проводили ежедневное клиническое наблюдение и еженедельный подробный осмотр животных, оценивали поведение и смертность. Динамику массы тела, потребления корма и воды регистрировали еженедельно.
Офтальмологический осмотр проводили при помощи офтальмоскопа «Heine» на 183-й и 211-й дни эксперимента у крыс и на 85–87, 268–270 и 301–302-й дни эксперимента у собак.
У крыс до введения ИПК, на 91-й и 183-й дни дозирования, а также по окончании периода последующего наблюдения (на 211-й день эксперимента), у собак до введения ИПК, на 91-й и 273-й дни дозирования, а также в конце периода последующего наблюдения (на 301-й день эксперимента) оценивали:
1) гематологические показатели:
- концентрацию гемоглобина;
- количество эритроцитов, лейкоцитов и тромбоцитов;
- относительное количество ретикулоцитов;
- значения гематокрита;
- лейкоцитарную формулу (нейтрофилы, лимфоциты, моноциты, эозинофилы, базофилы);
- средний объём эритроцита (MCV);
- среднее содержание гемоглобина в эритроците (MCH);
- среднюю концентрацию гемоглобина в эритроците (MCHC) (с использованием анализатора ADVIATM 120, «Siemens Diagnostics GmbH»);
- тромбопластиновое время;
- активированное частичное тромбопластиновое время (с использованием анализатора «Amax Destiny Plus™», «Tcoag Deutschland GmbH»);
2) параметры биохимического анализа крови — уровень альбумина, глобулина, альбумин-глобулинового коэффициента, билирубина, общего белка, аланинаминотрансферазы, аспартатаминотрансферазы, креатинина и мочевины (с использованием биохимического анализатора «Konelab 30i», «Thermo Fisher Scientific»).
Образцы крови для лабораторных анализов у крыс были взяты из венозного сплетения ретробульбарного пространства, у собак — из головной подкожной вены передней конечности (vena cephalica) или из большой подкожной вены задней конечности (vena saphena magna).
У крыс до введения ИПК, на 90/91-й, 182/183-й дни дозирования, а также в конце периода последующего наблюдения (на 210/211-й день эксперимента), у собак до введения ИПК, на 85-й, 267-й дни дозирования, а также в конце периода последующего наблюдения (на 296-й день эксперимента) брали анализ мочи и определяли уровень белка, глюкозы, билирубина, уробилиногена, кетоновых тел, гемоглобина, нитритов, оценивали pH, удельный вес («Combur 9® Test», «Roche Diagnostics GmbH»), содержание эпителиальных клеток, лейкоцитов, эритроцитов, микроорганизмов, кристаллов и других включений в осадке мочи методом световой микроскопии.
Патологоанатомическое исследование было проведено на 183-й, 274-й дни дозирования и в конце периода наблюдения — на 211-й и 303-й дни эксперимента у крыс и собак соответственно. После эвтаназии животных обескровливали путём вскрытия сонной артерии и выполняли макроскопическое обследование органов — исследовали головной мозг, состояние органов грудной и брюшной полостей, регистрировали любые патологические изменения внешнего вида и размеров.
Гистопатологическому исследованию подвергали головной мозг (конечный мозг, мозжечок и ствол мозга у животных обоих видов; гиппокамп и паравентрикулярные ядра — только у собак), гипофиз, глаз (вместе с оптическим нервом и гардеровой железой), язык (включая основание языка), слёзные железы, слюнные железы (нижнечелюстная, подъязычная, околоушная), тимус, щитовидные и паращитовидные железы, лимфатические узлы (шейный и брыжеечный), молочные железы, аорту (брюшную и грудную), сердце (левый и правый желудочек, перегородка), трахею (включая гортань), лёгкие (с главными бронхами и бронхиолами), пищевод, желудок, тонкую кишку (двенадцатиперстная кишка, тощая кишка, подвздошная кишка у животных обоих видов; пейеровы бляшки — только у крыс), толстую кишку (включая прямую кишку), слепую кишку, селезёнку, поджелудочную железу, желчный пузырь (у собак), печень, надпочечники, почки и мочеточники, мочевой пузырь, предстательную железу, семенные пузырьки, тестикулы, придатки яичка, яичники, матку, мышцы задней конечности, седалищный нерв, тканевые скопления (включая регионарные лимфатические узлы), кожу (левый бок), спинной мозг (3 среза), костный мозг (у крыс — плечевая кость, у собак — бедренная кость и отдельно 7 ребро), грудину с костным мозгом, кости (у крыс — плечевую, локтевую и лучевую кости, у собак — бедренную кость с суставом). Перед подготовкой срезов регистрировали массу вышеперечисленных органов. Дополнительно у собак оценивали влияние ИПК на сердечно сосудистую систему. Электрокардиограмму (ЭКГ) регистрировали в отведениях I, II, III, aVR, aVL и aVF (электрокардиограф «Cardiovit AT-1», «Schiller»). Определяли следующие параметры: частота сердечных сокращений, интервалы QRS, QT и PQ, сегмент Р.
Периферическое систолическое и диастолическое артериальное давление (АД) измеряли на выбритом участке хвоста у животного, находящегося в сознании, используя тонометр «Vet HDO Monitor» («S+B medvet GmbH»).
Определение АД и параметров ЭКГ проводили на 1, 91, 273-й дни дозирования и на 296-й день у животных из групп отсроченного наблюдения.
В рамках токсикокинетических исследований концентрацию ИПК в плазме крови животных определяли методом высокоэффективной жидкостной хроматографии с нижним пределом количественного определения 5 мкг/мл. Образцы крови у крыс отбирали на 1, 87 и 182-й дни дозирования, у собак — на 1, 91, 273, 275 и 277-й дни дозирования.
При планировании токсикокинетических исследований статистические гипотезы не выдвигались, поэтому их проверка не проводилась, а для предоставления результатов использовали методы описательной статистики. Для статистического анализа полученных результатов в экспериментах для межгрупповых сравнений непрерывных количественных признаков применяли критерий Манна–Уитни (при распределении, отличающемся от нормального) или t-критерий Стьюдента с поправкой Даннета для множественных сравнений (при нормальном распределении признака); для оценки статистической значимости различий распределения качественных признаков использовали точный тест Фишера или критерий χ2.
Результаты
В тесте Эймса внесение ИПК вплоть до максимальной дозы, составлявшей 5000 мкг на чашку, не приводило к увеличению числа ревертантных колоний (т.е. колоний S. typhimurium, которые в результате мутации восстанавливали способность синтезировать гистидин при его низком содержании в питательной среде). В концентрации до 5000 мкг/мл ИПК не вызывал хромосомных аберраций в лейкоцитах человека при инкубации в течение 4 или 24 ч. В условиях метаболической активации мутагенных и генотоксических эффектов также не наблюдали. В эксперименте на крысах однократное введение ИПК в дозах ≤ 2000 мг/кг не вызывало увеличения количества микроядер в ПХЭ костного мозга: у животных, получивших ИПК в наибольшей дозе — 2000 мг/кг, через 24 и 48 ч после введения среднее количество микроядер составляло 0,4 и 0,5 на 1000 ПХЭ соответственно, а у крыс из групп отрицательного контроля — 0,6 и 0,5 на 1000 ПХЭ соответственно. Таким образом, в стандартных тест-системах in vitro и in vivo ИПК не проявлял мутагенных и генотоксических свойств.
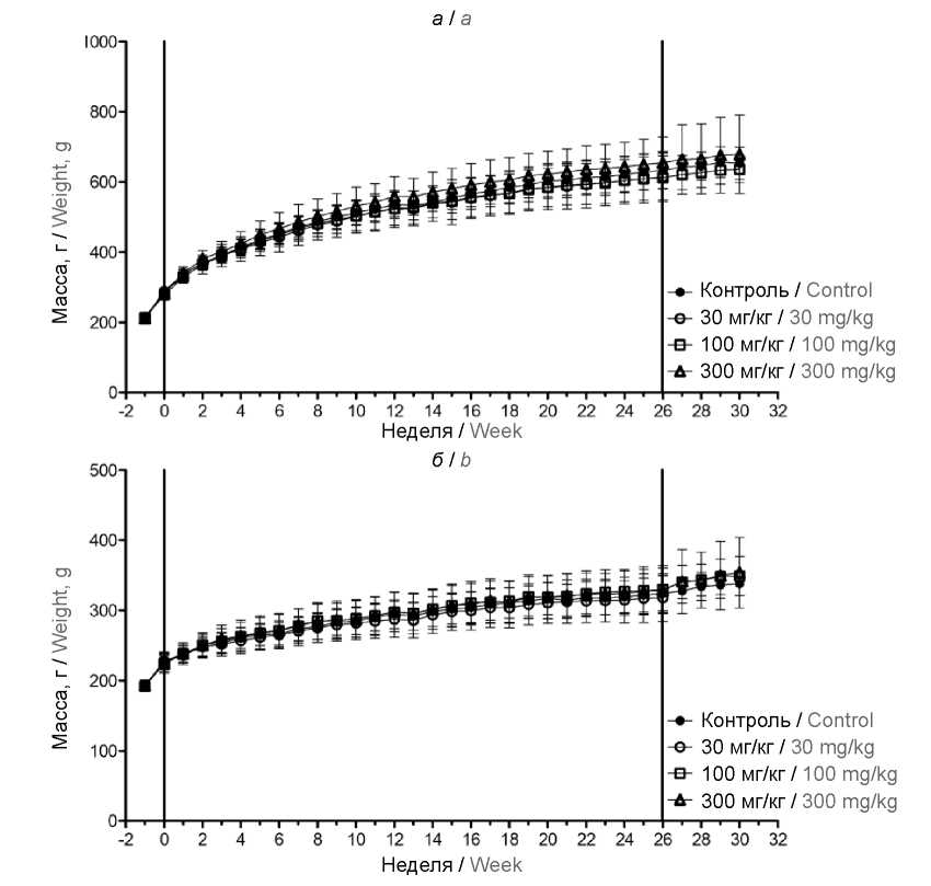
Крысы и собаки хорошо переносили длительное введение ИПК в течение 26 и 39 нед соответственно: за период наблюдения гибели животных не зарегистрировали. У крыс, получавших ИПК, не выявили отличий от животных из контрольной группы в поведении, внешнем виде, а также характере испражнений. Не было установлено влияния ИПК на динамику массы тела (рисунок), потребление корма и воды, диурез. При гистопатологическом исследовании не наблюдали системных морфологических нарушений, которые могли бы быть связаны с введением ИПК.

Динамика массы тела самцов (а) и самок (б) крыс.
Данные представлены в виде среднего арифметического значения и стандартного отклонения; вертикальными линиями отмечены границы периода дозирования.
Body weight dynamics in male (а) and female (b) rats.
Тhe data shown as the mean and standard deviation; vertical lines indicate dosing period.
Изменений показателей гемограммы, в том числе параметров лейкоцитарной формулы (табл. 1), MCV, MCH, MCHC, тромбопластинового времени, активированного частичного тромбопластинового времени, биохимического анализа крови, вызванных введением ИПК, у животных не выявили.
Таблица 1. Показатели лейкоцитарной формулы у крыс (×103/мкл)
Table 1. Indicators of the leukocyte formula in rats (×103/μl)
День Day | Доза Dose | Лейкоциты White blood cells | Нейтрофилы Neutrophils | Лимфоциты Lymphocytes | Моноциты Monocytes | Эозинофилы Eosinophils | LUC | Базофилы Basophils | |||||||
M | F | M | F | M | F | M | F | M | F | M | F | M | F | ||
91 (n = 10) | 0 | 11,020 | 5,940 | 1,844 | 0,823 | 8,689 | 4,750 | 0,263 | 0,187 | 0,147 | 0,129 | 0,062 | 0,044 | 0,015 | 0,005 |
| 30 | 10,567 | 6,982 | 1,630 | 1,022 | 8,413 | 5,581 | 0,251 | 0,182 | 0,188 | 0,145 | 0,073 | 0,048 | 0,013 | 0,007 |
| 100 | 10,390 | 7,001 | 1,500 | 1,167 | 8,379 | 5,398 | 0,247 | 0,203 | 0,174 | 0,187 | 0,079 | 0,041 | 0,011 | 0,010 |
| 300 | 10,617 | 8,028 | 1,710 | 1,241 | 8,328 | 6,279 | 0,293 | 0,249 | 0,195 | 0,186 | 0,082 | 0,065 | 0,012 | 0,009 |
183 (n = 10) | 0 | 9,330 | 4,798 | 1,700 | 0,636 | 7,186 | 3,861 | 0,208 | 0,145 | 0,177 | 0,128 | 0,040 | 0,019 | 0,016 | 0,007 |
| 30 | 9,956 | 5,340 | 1,606 | 0,847 | 7,830 | 4,122 | 0,218 | 0,153 | 0,253 | 0,184 | 0,030 | 0,028 | 0,019 | 0,007 |
| 100 | 8,578 | 5,102 | 1,267 | 0,843 | 6,866 | 3,932 | 0,233 | 0,157 | 0,151 | 0,143 | 0,041 | 0,021 | 0,014 | 0,007 |
| 300 | 9,668 | 5,541 | 1,489 | 0,818 | 7,676 | 4,385 | 0,260 | 0,164 | 0,183 | 0,143 | 0,042 | 0,023 | 0,017 | 0,006 |
211 (/7 = 5) | 0 | 9,016 | 4,996 | 2,072 | 0,696 | 6,386 | 3,888 | 0,312 | 0,202 | 0,142 | 0,162 | 0,080 | 0,042 | 0,024 | 0,012 |
| 30 | 9,260 | 5,874 | 1,602 | 0,842 | 7,116 | 4,676 | 0,296 | 0,172 | 0,158 | 0,126 | 0,072 | 0,038 | 0,018 | 0,014 |
| 300 | 8,758 | 5,234 | 1,794 | 0,810 | 6,384 | 4,092 | 0,286 | 0,186 | 0,206 | 0,106 | 0,062 | 0,036 | 0,020 | 0,008 |
Примечание. Здесь и в табл. 2: LUC — абсолютное количество крупных неокрашенных клеток c отсутствием активности миелопероксидазы; M — самцы; F — самки; данные представлены в виде средних значений; статистически значимых различий от группы контроля не выявлено (Anova & Dunnett, p ≥ 0,05), значения не выходят за рамки физиологических норм для данного вида животных.
Note. Here and in the Table 2: LUC — large unstained cell count; M — males; F — females; data are presented as mean values; there were no statistically significant differences from the control group (Anova & Dunnett, p ≥ 0.05), the values did not go beyond the physiological norms for this animal species.
У собак, получавших ИПК, не выявили отличий от животных из контрольной группы в поведении, внешнем виде, массе тела, потреблении корма и воды, параметрах ЭКГ и АД. Слуховые и зрительные нарушения у животных, получавших ИПК, отсутствовали. При гистопатологическом исследовании не наблюдали системных морфологических нарушений, которые могли бы быть связаны с введением ИПК. Влияния ИПК на гематологические показатели, биохимические параметры крови у собак не выявили (табл. 2).
Таблица 2. Показатели лейкоцитарной формулы у собак (×103/мкл)
Table 2. Indicators of the leukocyte formula in dogs (×103/μl)
День Day | Доза Dose | Лейкоциты White blood cells | Нейтрофилы Neutrophils | Лимфоциты Lymphocytes | Моноциты Monocytes | Эозинофилы Eosinophils | LUC | Базофилы Basophils | |||||||
M | F | M | F | M | F | M | F | M | F | M | F | M | F | ||
91 | 0 (n = 6) | 8,422 | 9,177 | 4,738 | 5,367 | 2,870 | 2,860 | 0,507 | 0,610 | 0,248 | 0,278 | 0,042 | 0,045 | 0,023 | 0,020 |
| 30 (n = 4) | 9,343 | 9,195 | 5,443 | 5,480 | 3,053 | 2,880 | 0,548 | 0,520 | 0,235 | 0,260 | 0,045 | 0,038 | 0,018 | 0,020 |
| 100 (n = 4) | 10,833 | 8,903 | 7,190 | 5,213 | 2,623 | 2,850 | 0,755 | 0,550 | 0,215 | 0,230 | 0,033 | 0,035 | 0,020 | 0,020 |
| 300 (n = 6) | 8,977 | 10,305 | 5,167 | 6,527 | 2,947 | 2,728 | 0,595 | 0,747 | 0,198 | 0,237 | 0,045 | 0,047 | 0,025 | 0,025 |
273 | 0 (n = 6) | 8,193 | 7,287 | 4,967 | 3,995 | 2,390 | 2,503 | 0,472 | 0,388 | 0,263 | 0,380 | 0,030 | 0,020 | 0,072 | 0,043 |
| 30 (n = 4) | 8,778 | 7,903 | 5,430 | 4,348 | 2,543 | 2,740 | 0,393 | 0,353 | 0,328 | 0,363 | 0,030 | 0,033 | 0,065 | 0,068 |
| 100 (n = 4) | 6,875 | 7,433 | 3,625 | 4,298 | 2,543 | 2,408 | 0,325 | 0,423 | 0,288 | 0,225 | 0,028 | 0,023 | 0,065 | 0,060 |
| 300 (n = 6) | 8,892 | 9,017 | 5,200 | 5,477 | 2,815 | 2,588 | 0,505 | 0,518 | 0,247 | 0,322 | 0,040 | 0,033 | 0,062 | 0,080 |
301 | 0 (n = 2) | 7,065 | 7,440 | 4,080 | 4,300 | 2,035 | 2,340 | 0,440 | 0,350 | 0,390 | 0,360 | 0,025 | 0,025 | 0,090 | 0,060 |
| 300 (n = 2) | 8,640 | 10,295 | 5,355 | 6,805 | 2,360 | 2,675 | 0,465 | 0,430 | 0,365 | 0,210 | 0,015 | 0,045 | 0,065 | 0,030 |
Интегральная оценка влияния ИПК на выделительную функцию почек по объёму и характеру диуреза, динамике содержания креатинина и мочевины в крови, а также микроскопического и биохимического анализа мочи не выявила изменений у крыс и собак в ходе эксперимента.
Проведённые эксперименты позволили установить, что для ИПК доза без наблюдаемого эффекта (NOEL) для животных обоих видов составляла 300 мг/кг/сут (максимальная использованная доза).
Полученные токсикокинетические данные свидетельствуют о том, что системная экспозиция ИПК, достигнутая в токсикологических исследованиях при введении крысам и собакам в течение 26 и 39 нед соответственно, существенно превышала возможную у человека при применении в разрешённых терапевтических дозах1. У крыс и собак, которым ИПК вводили в дозе 300 мг/кг/сут, AUC0–∞ составляла 22610,72–28036,64 и 111227,4– 175862,0 нг×ч/мл соответственно, что было в 8–10 и в 41–65 раз соответственно выше средней AUC у здоровых добровольцев, однократно принимавших ИПК в дозе 180 мг, которая, согласно результатам клинического исследования, составляла 2715,27 ± 587,31 нг×ч/мл [23].
Обсуждение
Полученные результаты свидетельствуют о том, что ИПК в широком диапазоне доз не проявляет цитотоксических свойств в отношении S. typhimurium (в дозах до 5000 мкг на чашку) и лимфоцитов человека (в концентрациях до 5000 мкг/мл), не обладает мутагенными и генотоксическими свойствами in vitro и in vivo. Крысы и собаки хорошо переносили многократное введение ИПК в диапазоне доз 30–300 мг/кг/сут в течение 26 и 39 нед соответственно без каких-либо признаков дозозависимого токсического действия, что, согласно актуальным регуляторным руководствам, позволяет применять ИПК у человека в течение 3 мес и более2.
Установленные величины в отношении любых нежелательных эффектов NOEL в данном исследовании составили 300 мг/кг/сут как для крыс, так и для собак: в течение всего периода дозирования и последующего периода наблюдения у животных обоих видов не отметили изменений поведения, внешнего вида, массы тела, отклонений результатов лабораторных и инструментальных исследований от нормы, не выявили патоморфологических нарушений. ИПК в экспериментах на животных двух видов даже при длительном введении не оказывал отрицательного влияния на количество эритроцитов, концентрацию гемоглобина, эритроцитарные индексы (MCV, MCH, MCHC), относительное количество ретикулоцитов, количество лейкоцитов и тромбоцитов, относительное количество нейтрофилов, лимфоцитов, моноцитов, эозинофилов, базофилов, гематокрит, а также на параметры коагулограммы, характеризующие сосудисто-тромбоцитарное и плазменно-коагуляционное звенья гемостаза.
Таким образом, в исследованном диапазоне доз ИПК не приводил к возникновению токсических эффектов, в том числе со стороны системы крови (содержание и характеристики форменных элементов крови, уровень гемоглобина, параметры коагулограммы), что позволяет считать профиль безопасности ИПК обоснованно благоприятным и свидетельствует об отсутствии потенциальных дозозависимых рисков при его длительном применении. Полученные новые результаты по оценке эффектов ИПК в широком диапазоне доз дополняют известные научные данные о благоприятном профиле безопасности ИПК, свидетельствуют об отсутствии мутагенного, генотоксического, цитотоксического действия ИПК, а также подтверждают дальнейшую возможность эмпирического применения противовирусного и противовоспалительного препарата в широкой клинической практике.
Выводы
1. ИПК в широком диапазоне доз не проявляет цитотоксических, мутагенных и генотоксических свойств в стандартных тестах in vitro и in vivo.
2. В токсикологическом исследовании при многократном пероральном введении в течение 26 нед крысам и в течение 39 нед собакам для ИПК не установлено негативное влияние на поведение, функциональные и морфологические параметры животных.
3. Не выявлено отрицательное влияние ИПК на количество и характеристики эритроцитов, уровень гемоглобина, лейкоцитарную формулу, а также сосудисто-тромбоцитарное и плазменно-коагуляционное звенья гемостаза.
4. NOEL ИПК соответствовала максимально вводимой дозе и составила 300 мг/кг/сут.
5. Системная экспозиция ИПК при введении в дозе 300 мг/кг/сут крысам и собакам превышала возможную у человека в 8–10 и в 41–65 раз соответственно.
6. Профиль безопасности ИПК при длительном применении является обоснованно благоприятным.
1. Согласно инстукциям по медицинскому применению терапевтические дозы препарата составляют 30, 60 и 90 мг, возможен прием препарата в дозе до 180 мг в течение 3 сут.
2. Решение Коллегии Евразийской экономической комиссии от 26.11.2019 № 202 «Об утверждении Руководства по доклиническим исследованиям безопасности в целях проведения клинических исследований и регистрации лекарственных препаратов».
About the authors
E. A. Jain
JSC Valenta Pharm Pharmaceutical Company
Author for correspondence.
Email: ekaterina.korsakova@valentapharm.com
ORCID iD: 0000-0003-0283-8598
Ekaterina A. Jain — Head, Preclinical research group, JSC Valenta Pharm pharmaceutical company.
Moscow.
D. Pleimes
Myelo Therapeutics GmbH
Email: fake@neicon.ru
ORCID iD: 0000-0002-0876-9418
Dirk Pleimes — managing director and chief medical officer, Myelo Therapeutics GmbH.
Berlin.
A. A. Globenko
JSC Valenta Pharm Pharmaceutical Company
Email: fake@neicon.ru
ORCID iD: 0000-0001-9295-2663
Aleksander A. Globenko — Cand. Sci. (Med.), Medical director, JSC Valenta Pharm pharmaceutical company.
Moscow.
References
- Zarubaev V.V., Garshinina A.V., Kalinina N.A., Shtro A.A., Belyaevskaya S.V., Slita A.V., et al. Activity of ingavirin (6-[2-(1H-Imidazol-4-yl)ethylamino]-5-oxo-hexanoic acid) against human respiratory viruses in in vivo experiments. Pharmaceuticals (Basel). 2011; 4(12): 1518-34. https://doi.org/10.3390/ph4121518
- Malik I., Kovac G., Padrtova T., Hudecova L. Ingavirin might be a promising agent to combat Severe Acute Respiratory Coronavirus 2 (SARS-CoV-2). Ceska Slov. Farm. 2020; 69(3): 107-11.
- Шишкина Л.Н., Небольсин В.Е., Кабанов А.С., Скарнович М.О., Эрдынеева У.Б., Мазуркова Н.А. и др. Изучение эффективности Ингавирина® in vitro в отношении штаммов пандемического вируса гриппа A(H1N1/09)V. Антибиотики и химиотерапия. 2010; 55(3-4): 12-6.
- Логинова С.Я., Борисевич С.В., Семенова И.А., Борисевич Г.В., Максимов В.А., Бондарев В.П. и др. Изучение эффективности Ингавирина® in vitro в отношении возбудителя гриппа В. Антибиотики и химиотерапия. 2009; 54(7-8): 13-5.
- Логинова С.Я., Борисевич С.В., Щукина В.Н., Лыков М.В., Борисевич Г.В., Бондарев В.П. и др. Изучение противовирусной активности ингавирина® в отношении возбудителя «мексиканского» пандемического гриппа A/H1N1/2009 in vitro и in vivo. Антибиотики и химиотерапия. 2010; 55(1112): 17-21.
- Зарубаев В.В., Гаршинина А.В., Калинина Н.А., Беляевская С.В., Небольсин В.Е., Киселев О.И. и др. Лечение экспериментальной парагриппозной пневмонии у сирийских хомяков при помощи Ингавирина. Вопросы вирусологии. 2012; 57(2): 35-40.
- Логинова С.Я., Борисевич С.В., Лыков М.В., Веденина Е.В., Борисевич Г.В., Бондарев В.П. и др. Изучение эффективности Ингавирина® in vitro в отношении «Мексиканского» пандемического подтипа H1N1 вируса гриппа А, штаммы A/California/04/2009 и A/California/07/2009. Антибиотики и химиотерапия. 2009; 54(3-4): 15-7.
- Исаева Е.И., Небольсин В.Е., Козулина И.С., Морозова О.В. Изучение противовирусной активности Ингавирина® in vitro в отношении метапневмовируса человека. Вопросы вирусологии. 2012; 57(1): 34-8.
- Логинова С.Я., Борисевич С.В., Максимов В.А., Бондарев В.П., Небольсин В.Е. Эффективность Ингавирина® in vitro в отношении возбудителя аденовирусной инфекции. Антибиотики и химиотерапия. 2009; 54(7-8): 16-8.
- Логинова С.Я., Борисевич С.В., Семенова И.В., Максимов В.А., Бондарев В.П., Небольсин В.Е. Изучение противовирусной активности Ингавирина® в отношении возбудителя гриппа A(H3N2) in vitro. Антибиотики и химиотерапия. 2009; 54(9-10): 23-6.
- Зарубаев В.В., Беляевская С.В., Сироткин А.К., Анфимов П.М., Небольсин В.Е., Киселев О.И. и др. Влияние Ингавирина® in vitro и in vivo на ультраструктуру и инфекционность вируса гриппа. Вопросы вирусологии. 2011; 56(5): 21-5.
- Шишкина Л.Н., Небольсин В.Е., Кабанов А.С., Скарнович М.О., Мазуркова Н.А., Сергеев А.А. и др. Эффективность Ингавирина® in vitro и in vivo в отношении штаммов пандемического вируса гриппа A(H1N1/09)v. Журнал микробиологии, эпидемиологии и иммунобиологии. 2011; (2): 93-6.
- Соколова Т.М., Полосков В.В., Шувалов А.Н., Бурова О.С., Соколова З.А. Сигнальные TLR/RLR-механизмы иммуномодулирующего действия препаратов ингавирин и тимоген. Российский биотерапевтический журнал. 2019; 18(1): 60-6. https://doi.org/10.17650/1726-9784-2019-18-1-60-66
- Соколова Т.М., Шувалов А.Н., Полосков В.В., Ершов Ф.И. Стимуляция генов сигнальной трансдукции препаратами «Ридостин», «Циклоферон» и «Ингавирин». Цитокины и воспаление. 2015; 14(2): 26-34.
- Моисеева И.Я., Зиновьев А.И., Кустикова И.Н., Филимонов С.А. Влияние препарата «Дикарбамин» на лейкоцитарный состав периферической крови в условиях экспериментального костномозгового синдрома. Известия высших учебных заведений. Поволжский регион. Медицинские науки. 2008; (4): 17-24.
- Моисеева И.Я., Зиновьев А.И., Мозерова И.В., Филимонов С.А. Влияние дикарбамина на пострадиационную динамику лейкоцитарного состава периферической крови мышей. Экспериментальная и клиническая фармакология. 2010; 73(1): 20-2.
- Моисеева И.Я., Ионичева Л.В., Никишин С.А., Зиновьев А.И., Небольсин В.Е. Модификация гематосупрессивного действия ионизирующего излучения дикарбамином. Вопросы онкологии. 2013; 59(1): 99-104.
- Моисеева И.Я., Зиновьев А.И., Ионичева Л.В., Никишин С.А., Небольсин В.Е., Кинзирская Ю.В. Влияние дикарбамина на костномозговое кроветворение в условиях экспериментального пострадиационного костномозгового синдрома. Вопросы онкологии. 2012; 58(5): 663-6.
- Моисеева И.Я., Никишин С.А., Водопьянова О.А., Ионова С.А., Небольсин В.Е. Сравнительное исследование миелопротекторной эффективности дикарбамина в различных дозах и режимах введения в условиях экспериментального пострадиационного костномозгового синдрома. Современные проблемы науки и образования. 2013; (2): 54.
- Моисеева И.Я., Ионичева Л.В., Никишин С.А., Родина О.П., Водопьянова О.А., Небольсин В.Е. Сравнительное исследование миелопротекторного эффекта дикарбамина и лейкостима в условиях экспериментального пострадиационного костномозгового синдрома. Вопросы онкологии. 2013; 59(4): 498-504.
- Райхлин Н.Т., Андронова Н.В., Седакова Л.А., Гаджиева С.Ш., Смирнова Е.А., Власенкова Н.К. и др. Препарат дикарбамин вызывает дифференцировку опухолевых клеток эритробластоза Френд с образованием элементов лимфоидного миелоидного и эритроидного ряда. Российский биотерапевтический журнал. 2005; 4(3): 80-6.
- Nair A., Jacob S. A simple practice guide for dose conversion between animals and human. J. Basic Clin. Pharm. 2016; 7(2): 27.
- Гордеев И.Г., Казей В.И., Капашин А.В., Лучинкина Е.Е., Глобенко А.А., Владыкин А.Л. и др. Фармакокинетика имидазолилэтанамида пентандиовой кислоты у здоровых добровольцев. Антибиотики и химиотерапия. 2021; 66(1-2): 19-25.
Supplementary files




